Trắc nghiệm Vật lý Bài 3 có đáp án: Chuyển động đều, Chuyển động không đều (Tiếp)
Trắc nghiệm vật lý Bài 3: Chuyển động đều, Chuyển động không đều (Tiếp)
Câu 1: Thả viên bi trên máng nghiêng và máng ngang như hình vẽ.

Phát biểu nào dưới đây chưa chính xác
A. Viên bi chuyển động nhanh dần từ A đến B
B. Viên bi chuyển động chậm dần từ C đến D
C. Viên bi chuyển động nhanh dần từ A đến C
D. Viên bi chuyển động không đều trên đoạn AC
Giải đáp:A, B, D – đúng. C - sai vì: Viên bị chuyển động nhanh dần từ A→B và chuyển động chậm dần từ B→C
Đáp án cần chọn là: C
Câu 2: Thả viên bi trên máng nghiêng và máng ngang như hình vẽ.

Phát biểu nào dưới đây chính xác
A. Viên bi chuyển động chậm dần từ A đến B
B. Viên bi chuyển động nhanh dần từ C đến D
C. Viên bi chuyển động nhanh dần từ A đến C
D. Viên bi chuyển động không đều trên đoạn AC
Giải đáp:
A – sai vì: Viên bi chuyển động nhanh dần từ A đến B
B – sai vì: Viên bi chuyển động chậm dần từ C đến D
C - sai vì: Viên bị chuyển động nhanh dần từ A→B và chuyển động chậm dần từ B→C
D – đúng.
Đáp án cần chọn là: D
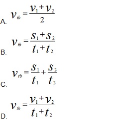
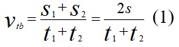
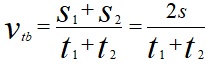
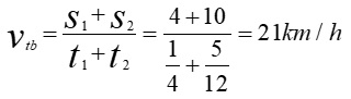
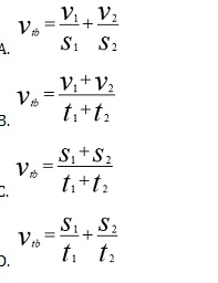
Câu 3: Công thức tính vận tốc trung bình trên quãng đường gồm 2 đoạn s1 và s2 là:
A.
B.
C.
D.
Giải đáp:
Trong đó s1,s2,...,sn và t1,t2,...,tn là những quãng đường và thời gian để đi hết quãng đường đó.
Đáp án cần chọn là: D
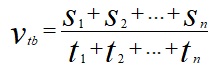
Câu 4: Công thức nào sau đây dùng để tính vận tốc trung bình:

Giải đáp:

Trong đó s1,s2,...,sn và t1,t2,...,tn là những quãng đường và thời gian để đi hết quãng đường đó.
Đáp án cần chọn là: B
Câu 5: Trong các chuyển động sau, chuyển động nào là đều
A. Chuyển động của quả dừa rơi từ trên cây xuống
B. Chuyển động của Mặt trăng quanh Trái đất
C. Chuyển động của đầu cánh quạt
D. Chuyển động của xe buýt từ đường Phạm Văn Đồng ra Nguyễn Phong Sắc
Giải đáp:
A, C, D - chuyển động không đều
B - chuyển động đều
Đáp án cần chọn là: B
Câu 6: Trong các chuyển động sau, chuyển động nào là đều
A. Chuyển động của đầu cánh quạt máy bay khi quạt đang chạy ổn định.
B. Chuyển động của ô tô khi khởi hành.
C. Chuyển động của xe đạp khi xuống dốc.
D. Chuyển động của tàu hỏa khi vào ga.
Giải đáp:
A - chuyển động đều
B, C, D - chuyển động không đều
Đáp án cần chọn là: A
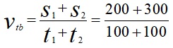
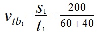
Câu 7: Đào đi bộ từ nhà tới trường, quãng đường đầu dài 200m Đào đi mất 1 phút 40 giây; quãng đường còn lại dài 300m Đào đi mất 100 giây. Vận tốc trung bình của Đào trên mỗi đoạn đường và cả đoạn đường lần lượt là:
A. 2m/s; 3m/s; 2,5m/s
B. 3m/s; 2,5m/s; 2m/s
C. 2m/s; 2,5m/s; 3m/s
D. 3m/s; 2m/s; 2,5m/s
Giải đáp:
+ Vận tốc trung bình trên đoạn đường thứ nhất:
= 2m/s
+ Vận tốc trung bình trên đoạn đường thứ hai:
= 3m/s
+ Vận tốc trung bình trên cả đoạn đường là:
Đáp án cần chọn là: A
Câu 8: Một học sinh đi đến trường bằng xe đạp, quãng đường đầu dài 3km đi trong 10 phút, quãng đường sau dài 2km đi trong 5 phút. Vận tốc trung bình của học sinh trên mỗi đoạn đường và cả đoạn đường lần lượt là:
A. 5m/s; 6m/s; 5,5m/s
B. 3m/s; 2,5m/s; 2m/s
C. 5m/s; 6,67m/s; 5,56m/s
D. 3m/s; 2m/s; 2,5m/s
Giải đáp:
s1 = 3km = 3000m
s2 = 2km = 2000m
t1 = 10p = 600s
t2 = 5p = 300s
+ Vận tốc trung bình trên đoạn đường thứ nhất: 
+ Vận tốc trung bình trên đoạn đường thứ hai:
+ Vận tốc trung bình trên cả đoạn đường là:
Đáp án cần chọn là: C
Câu 9: Tàu thống nhất TN1 đi từ ga Huế vào ga Sài Gòn mất 20h. Biết vận tốc trung bình của tàu là 15m/s. Hỏi chiều dài của đường ray từ Huế vào Sài Gòn là bao nhiêu?
A. 3000km
B. 1080km
C. 1000km
D. 1333km
Giải đáp:
Ta có:
= 15.(20.60.60) = 1080000m = 1080km.
Đáp án cần chọn là: B
Câu 10: Một đoàn tàu chuyển động trên đoạn đường AB với vận tốc trung bình 10m/s. Quãng đường AB dài bao nhiêu, biết đoàn tàu đi hết quãng đường này mất 7,5 giờ? Hãy chọn câu đúng
A. 27km
B. 2700km
C. 270km
D. 2,7km
Giải đáp:
vtb = 10m/s = 36km/h.
Ta có:
= 36.7,5 = 270 km
Đáp án cần chọn là: C
Câu 11: Hải đi bộ từ nhà đến trường mất 15 phút, biết vận tốc trung bình 8km/h. Quãng đường từ nhà Hải đến trường là:
A. 2km
B. 2,5km
C. 5km
D. 3km
Giải đáp:
15 phút = 0,25 giờ
Ta có:
= 8.0,25 = 2km
Đáp án cần chọn là: A
Câu 12: Trong trận đấu giữa Đức và Áo ở EURO 2008, Tiền vệ Mai-Cơn BaLack của đội tuyển Đức sút phạt cách khung thành của đội Áo 30m. Các chuyên gia tính được vận tốc trung bình của quả đá phạt đó lên tới 108km/h. Hỏi thời gian bóng bay từ chân cầu thủ đến khung thành là bao nhiêu?
A. 1s
B. 36s
C. 1,5s
D. 3,6s
Giải đáp:
Đổi đơn vị: 108km/h = 30m/s
Ta có: 
Đáp án cần chọn là: A
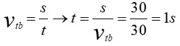
Câu 13: Khánh đi bộ từ nhà đến nơi làm việc với vận tốc 4,4km/h. Biết khoảng cách từ nhà đến nơi làm việc là 1,1km. Thời gian Khánh đi bộ đến nơi làm việc là:
A. 10 phút
B. 15 phút
C. 25 phút
D. 30 phút
Giải đáp:
Ta có: 
0,25h = 15 phút
Đáp án cần chọn là: B
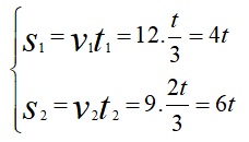
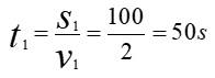
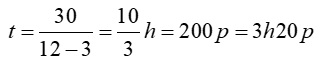
Câu 14: Hưng đạp xe lên dốc dài 100m với vận tốc 2m/s, sau đó xuống dốc dài 140m hết 30s. Hỏi vận tốc trung bình của Hưng trên cả đoạn đường dốc?
A. 50m/s
B. 8m/s
C. 4,67m/s
D. 3m/s
Giải đáp:
+ Thời gian Hưng đạp xe lên dốc là:
+ Vận tốc trung bình của Hưng trên cả đoạn đường dốc là:

Đáp án cần chọn là: D
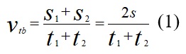
Câu 15: Một người đi bộ trên đoạn đường đầu dài 3,6km với vận tốc 2m/s, đoạn đường sau dài 1,9km đi hết 0,3h. Vận tốc trung bình của người đó trên cả đoạn đường là:
A. 6,857km/h
B. 7,865km/h
C. 6,875km/h
D. 6,758km/h
Giải đáp:
v1= 2m/s = 7,2km/h
+ Thời gian người đó đi đoạn đường đầu là:
+ Vận tốc trung bình của Hưng trên cả đoạn đường dốc là:
Đáp án cần chọn là: C
Câu 16: Một học sinh vô địch trong giải điền kinh ở nội dung chạy cự li 1000m với thời gian là 2 phút 5 giây. Vận tốc của học sinh đó là:
A. 40m/s
B. 8m/s
C. 4,88m/s
D. 120m/s
Giải đáp:
Ta có
+ Thời gian học sinh đó chạy 1000m là: t = 2.60 + 5 = 125s
+ Vận tốc của học sinh đó là:
Đáp án cần chọn là: B
Câu 17: Một đoàn tàu chuyển động trong thời gian 1,5h đi đoạn đường dài 8100m. Vận tốc của tàu là:
A. 40m/s
B. 8m/s
C. 15m/s
D. 120m/s
Giải đáp:
Ta có,
+ Thời gian tàu chuyển động 81000m là: t=1,5.60.60=5400st=1,5.60.60=5400s
+ Vận tốc của tàu là:
Đáp án cần chọn là: C
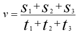
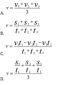
Câu 18: Một người đi xe đạp trên đoạn đường MNPQ. Biết trên đoạn đường MN = s1 người đó đi với vận tốc v1, trong thời gian t1; trên đoạn đường NP = s2 người đó đi với vận tốc v2, trong thời gian t2; trên đoạn đường PQ = s3 người đó đi với vận tốc v3, trong thời gian t3. Vận tốc trung bình của người đó trên đoạn đường MNPQ được tính bởi công thức:
Giải đáp:
Vật tốc trung bình của người đi xe đạp đó là:
Đáp án cần chọn là: B
Câu 19: Một người đi được quãng đường s1 hết t1 giây, đi được quãng đường s2 hết t2 giây. Trong các công thức dùng để tính vận tốc trung bình của người đó trên cả hai quãng đường s1 và s2 công thức nào đúng?
Giải đáp
Vận tốc trung bình người đó là:
Đáp án cần chọn là: C
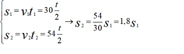
Câu 20: Một xe máy di chuyển giữa hai địa điểm A và B. Vận tốc trong ½ thời gian đầu là 30km/h và trong ½ thời gian sau là 15m/s. Vận tốc trung bình của ô tô trên cả đoạn đường là:
A. 42km/h
B. 22,5km/h
C. 36km/h
D. 54km/h
Giải đáp:
Đổi đơn vị: 15m/s = 54km/h
Gọi quãng đường vật đi được trong 1/2 thời gian đầu và 1/2 thời gian sau lần lượt là: s1, s2
Ta có:
Vận tốc của ô tô trên cả đoạn đường:
Đáp án cần chọn là: A
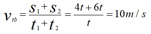
Câu 21: Một vật chuyển động không đều. Biết trong 1/3 thời gian đầu vật có vận tốc trung bình là 12m/s. Trong 2/3 thời gian sau vật có vận tốc là 9m/s. Vận tốc trung bình của vật trong suốt thời gian chuyển động là:
A. 11m/s
B. 10m/s
C. 10,5m/s
D. 11,5m/s
Giải đáp
Gọi quãng đường vật đi được trong 1/3 thời gian đầu và 2/3 thời gian sau lần lượt là: s1, s2
Ta có:
Vận tốc của ô tô trên cả đoạn đường:
Đáp án cần chọn là: B
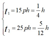
Câu 22: Một người đi xe máy trên đoạn đường ABC. Biết trên đoạn đường AB người đó đi với vận tốc 16km/h, trong thời gian t1 = 15 phút; trên đoạn đường BC người đó đi với vận tốc 24km/h, trong thời gian t2 = 25 phút. Vận tốc trung bình của người đó trên đoạn đường ABC là:
A. 18km/h
B. 20km/h
C. 21km/h
D. 22km/h
Giải đáp:
Ta có:
+ Quãng đường AB: AB = s1 = v1t1 = 16. 1/4=4km
+ Quãng đường BC: BC = s2 = v2t2 = 24. 5/2= 10km
Vận tốc trung bình trên đoạn đường ABCABC là :
Đáp án cần chọn là: C
Câu 23: Một người đi bộ trên đoạn đường ABC. Biết trên đoạn đường AB người đó đi với vận tốc 10km/h, trong thời gian t1 = 30 phút; trên đoạn đường BC người đó đi với vận tốc 8km/h, trong thời gian t2 = 15 phút. Vận tốc trung bình của người đó trên đoạn đường ABC là:
A. 9km/h
B. 9,3km/h
C. 8,3km/h
D. 8,7km/h
Giải đáp:
Ta có:
+ Quãng đường AB: AB = s1 = v1t1 = 10.0,5 = 5km
+ Quãng đường BC: BC = s2 = v2t2 = 8.0,25 = 2km
Vận tốc trung bình trên đoạn đường ABC là :

Đáp án cần chọn là: B
Câu 24: Một ô tô đi từ Huế vào Đà Nẵng với vận tốc trung bình 48km/h. Trong đó nửa quãng đường đầu ô tô đi với vận tốc 40km/h. Hỏi vận tốc ở nửa quãng đường sau?
A. 50km/h
B. 44km/h
C. 60km/h
D. 68km/h
Giải đáp:
Gọi v1, v2 lần lượt là vận tốc của ô tô trên hai nửa quãng đường
t1, t2 lần lượt là thời gian của ô tô trên hai nửa quãng đường
Ta có:

Mặt khác, ta có:
Thay vào (1) ta được:
Đáp án cần chọn là: C
Câu 25: Một ô tô đi từ Quảng Ninh đến Hà Nội với vận tốc trung bình 40km/h. Trong đó nửa quãng đường đầu ô tô đi với vận tốc 45km/h. Hỏi vận tốc ở nửa quãng đường sau?
A. 35km/h
B. 34km/h
C. 37km/h
D. 36km/h
Giải đáp:
Gọi v1, v2 lần lượt là vận tốc của ô tô trên hai nửa quãng đường
t1, t2 lần lượt là thời gian của ô tô trên hai nửa quãng đường
Ta có:

Mặt khác, ta có:
Thay vào (1) ta được:
Đáp án cần chọn là: D
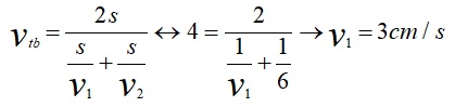
Câu 26: Bắn một viên bi lên một máng nghiêng, sau đó viên bi lăn xuống với vận tốc 6cm/s. Biết vận tốc trung bình của viên bi cả đi lên và đi xuống là 4cm/s. Hỏi vận tốc của viên bi khi đi lên?
A. 3cm/s
B. 3m/s
C. 5cm/s
D. 5m/s
Giải đáp:Gọi v1, v2 lần lượt là vận tốc của bi trên khi đi lên và lăn xuống. Đáp án:: A
t1, t2 lần lượt là thời gian của bi trên khi đi lên và lăn xuống. Ta có:
(1)
Mặt khác, ta có:
Thay vào (1) ta được:
Đáp án cần chọn là: A
Câu 27: Một người đi nửa đoạn đường đầu với vận tốc 12km/h. Biết vận tốc trung bình cả đoạn đường là 8km/h. Vận tốc người đó đi nửa đoạn đường sau là:
A. 6km/h
B. 6,5km/h
C. 6,75km/h
D. 6,25km/h
Giải đáp:Gọi v1, v2 lần lượt là vận tốc mà người đó đi nửa đoạn đường đầu và nửa đoạn đường sau.Đáp án: A
t1, t2 lần lượt là thời gian mà người đó đi nửa đoạn đường đầu và nửa đoạn đường sau.Ta có:
(1)
Mặt khác, ta có:
Thay vào (1) ta được:
Câu 28: Hai bến sông A và B cách nhau 24km, dòng nước chảy đều theo hướng A đến B với vận tốc 6km/h. Một canô đi từ A đến B mất 1h. Cũng với canô đó đi ngược dòng mất bao lâu? Biết công suất máy của ca nô là không đổi.
A. 1 giờ 15 phút
B. 1 giờ 30 phút
C. 2 giờ
D. 2,5 giờ
Giải đáp:Đáp án: C. Gọi vận tốc của canô khi dòng nước không chảy là: Vcano
Vận tốc của canô + vận tốc dòng chảy bằng:
Ta có:
Khi canô xuôi dòng: Vcano+6 = 24
→Vcano = 18km/h
Khi ngược dòng, thời gian canô phải đi là:
Đáp án cần chọn là: C
Câu 29: Hai bến sông A và B cách nhau 30km, dòng nước chảy đều theo hướng A đến B với vận tốc 3km/h. Một ca nô đi từ A đến B mất 2h. Cũng với ca nô đó đi ngược dòng mất bao lâu? Biết công suất máy của ca nô là không đổi.
A. 3 giờ 15 phút
B. 3 giờ 30 phút
C. 3 giờ 20 phút
D. 2,5 giờ
Giải đáp:Đáp án: C. Gọi vận tốc của canô khi dòng nước không chảy là: Vcano
Vận tốc của canô + vận tốc dòng chảy bằng:
Ta có:
Khi canô xuôi dòng: Vcano + 3 = 15
→Vcano = 12km/h
Khi ngược dòng, thời gian canô phải đi là:
Câu 30: Xe đạp và xe máy khởi hành cùng một lúc, chạy cùng chiều trên đoạn đường AB. Hai xe có đồ thị đường đi như hình vẽ.

(I) - ứng với xe máy
(II) - ứng với xe đạp
Từ đồ thị, hãy cho biết khoảng thời gian từ lúc khởi hành đến khi hai xe gặp nhau lần thứ nhất và vị trí lúc hai xe gặp nhau lúc đó cách A bao nhiêu?
A. 1 giờ và 45km
B. 3 giờ và 75km
C. 2 giờ và 45km
D. 3,2 giờ và 75,4km
Giải đáp:Đáp án: A

Từ đồ thị ta có,
Từ lúc khởi hành, sau 1 giờ xe hai xe gặp nhau lần thứ nhất tại vị trí cách điểm A 45km
Câu 31: Một người đi xe đạp trên một đoạn đường thẳng AB. Trên 1/3 đoạn đường đầu đi với vận tốc 14km/h, 1/3 đoạn đường tiếp theo đi với vận tốc 16km/h, 1/3 đoạn đường cuối đi với vận tốc 8km/h. Vận tốc trung bình của xe đạp trên cả đoạn đường AB có thể nhận giá trị nào? Hãy chọn câu đúng
A. 8,87km/h
B. 11,6km/h
C. 11,6m/s
D. 8,87m/s
Giải đáp:Đáp án: B. Gọi thời gian vật đi được trong từng quãng đường lần lượt là: t1, t2, t3
Ta có:
Vận tốc của ô tô trên cả đoạn đường:

Tổng hợp các câu trắc nghiệm Vật lý lớp 8 có đáp án: ôn bài, ôn tập chương, kiểm tra, thi
Suckhoecuocsong.vn/TH
Các tin liên quan
- Câu trắc nghiệm Vật lý 8 Bài 23 có đáp án: Đối lưu - Bức xạ nhiệt
- Câu trắc nghiệm Vật lý 8 tổng kết chương 1 có đáp án: Cơ học
- Trắc nghiệm Vật lý 8 Bài 5 có đáp án: Sự cân bằng lực, Quán tính (Tiếp)
- Trắc nghiệm Vật lý 8 Bài 2 có đáp án: Vận tốc (Tiếp)
- Trắc nghiệm vật lý 8 Bài 1 có đáp án: Chuyển động cơ học (Tiếp)
Các tin khác
-
Câu hỏi trắc nghiệm Địa lí lớp 10 bài 2 ôn tập: Một số phương pháp biểu hiện các đối tượng địa lí trên bản đồ
Câu hỏi trắc nghiệm Địa lí lớp 10 bài 2 ôn tập có đáp án: Một số phương pháp biểu hiện các đối tượng địa lí trên bản đồ -
Câu hỏi trắc nghiệm Địa lí lớp 10 bài 2 có đáp án: Một số phương pháp biểu hiện các đối tượng địa lí trên bản đồ (Phần 2)
Câu hỏi trắc nghiệm Địa lí lớp 10 bài 2 có đáp án chính xác: Một số phương pháp biểu hiện các đối tượng địa lí trên bản đồ (Phần 2) -
Câu hỏi trắc nghiệm Địa lí lớp 10 bài 2 có đáp án: Một số phương pháp biểu diễn các đối tượng địa lí trên bản đồ (Phần 1)
Câu hỏi trắc nghiệm Địa lí lớp 10 bài 2 có đáp án chính xác: Một số phương pháp biểu diễn các đối tượng địa lí trên bản đồ (Phần 1) -
Câu hỏi trắc nghiệm Địa lí lớp 10 bài 1 có đáp án: Các phép chiếu hình bản đồ (Phần 2)
Câu hỏi trắc nghiệm Địa lí lớp 10 bài 1 có đáp án chính xác: Các phép chiếu hình bản đồ (Phần 2) -
Câu hỏi trắc nghiệm Địa lí lớp 10 bài 1 có đáp án: Các phép chiếu hình bản đồ (Phần 1)
Câu hỏi trắc nghiệm Địa lí lớp 10 bài 1 có đáp án chính xác: Các phép chiếu hình bản đồ (Phần 1) -
Câu trắc nghiệm Địa lý lớp 10 theo bài, ôn tập có đáp án
Câu trắc nghiệm Địa lý lớp 10 theo bài, ôn tập có đáp án chính xác -
Câu hỏi trắc nghiệm Sinh học lớp 10 bài 3 ôn tập: Các nguyên tố hóa học và nước
Câu hỏi trắc nghiệm Sinh học lớp 10 bài 3 ôn tập có đáp án: Các nguyên tố hóa học và nước -
Câu hỏi trắc nghiệm Sinh học lớp 10 Bài 3 có đáp án: Các nguyên tố hóa học và nước
Câu hỏi trắc nghiệm Sinh học lớp 10 Bài 3 có đáp án chính xác: Các nguyên tố hóa học và nước -
Câu hỏi trắc nghiệm Sinh học lớp 10 bài 2 ôn tập: Các giới sinh vật
Câu hỏi trắc nghiệm Sinh học lớp 10 bài 2 ôn tập có đáp án: Các giới sinh vật -
Câu hỏi trắc nghiệm Sinh học lớp 10 bài 2 có đáp án: Các giới sinh vật
Câu hỏi trắc nghiệm Sinh học lớp 10 bài 2 có đáp án: Các giới sinh vật
