Trắc nghiệm Vật lý 8 Bài 2 có đáp án: Vận tốc (Tiếp)
Trắc nghiệm Vật lý 8 Bài 2 có đáp án: Vận tốc (Tiếp)
Phần 1: Vận tốc
Câu 1: Độ lớn của vận tốc cho biết:
A. Qũy đạo của chuyển động
B. Mức độ nhanh hay chậm của chuyển động
C. Dạng đường đi của chuyển động
D. Mức độ nhanh hay chậm của vận tốc
Giải đáp:Độ lớn của vận tốc cho biết mức độ nhanh hay chậm của chuyển động và được xác định bằng độ dài quãng đường đi được trong một đơn vị thời gian.
Đáp án cần chọn là: B
Câu 2: Trong các phát biểu sau, phát biểu nào là đúng?
A. Độ lớn của vận tốc cho biết qũy đạo của chuyển động
B. Độ lớn của vận tốc cho biết mức độ nhanh hay chậm của chuyển động
C. Độ lớn của vận tốc cho biết dạng đường đi của chuyển động
D. Độ lớn của vận tốc cho biết mức độ nhanh hay chậm của vận tốc
Giải đáp:Độ lớn của vận tốc cho biết mức độ nhanh hay chậm của chuyển động và được xác định bằng độ dài quãng đường đi được trong một đơn vị thời gian.
Đáp án cần chọn là: B
Câu 3: Đại lượng nào sau đây cho biết mức độ nhanh hay chậm của chuyển động?
A. Thời gian chuyển động.
B. Quãng đường.
C. Vận tốc.
D. Cả 3 đại lượng trên.
Giải đáp:Độ lớn của vận tốc cho biết mức độ nhanh hay chậm của chuyển động và được xác định bằng độ dài quãng đường đi được trong một đơn vị thời gian.
Đáp án cần chọn là: C
Câu 4: Độ lớn vận tốc biểu thị tính chất nào của chuyển động? Hãy chọn câu đúng.
A. Thời gian chuyển động dài hay ngắn
B. Tốc độ chuyển động nhanh hay chậm
C. Quãng đường chuyển động dài hay ngắn
D. Cho biết cả quãng đường, thời gian và sự nhanh chậm của chuyển động
Giải đáp:
Độ lớn của vận tốc cho biết mức độ nhanh hay chậm của chuyển động và được xác định bằng độ dài quãng đường đi được trong một đơn vị thời gian.
Đáp án cần chọn là: B
Câu 5: Trong các phát biểu sau về độ lớn vận tốc, phát biểu nào sau đây đúng:
A. Độ lớn vận tốc tính bằng quãng đường đi được trong một đơn vị thời gian.
B. Độ lớn vận tốc tính bằng quãng đường đi được trong một phút.
C. Độ lớn vận tốc tính bằng quãng đường đi được trong một giờ.
D. Độ lớn vận tốc tính bằng quãng đường đi được trong một ngày.
Giải đáp:Độ lớn của vận tốc cho biết mức độ nhanh hay chậm của chuyển động và được xác định bằng độ dài quãng đường đi được trong một đơn vị thời gian.
Đáp án cần chọn là: A
Câu 6: Công thức tính vận tốc là:
A.
B.
C. v = s.t D. v = m/s
Giải đáp:
Vận tốc được tính bằng công thức:
Trong đó:
+ v: vận tốc
+ s: quãng đường
+ t: thời gian đi hết quãng đường đó
Đáp án cần chọn là: B
Câu 7: Chọn đáp án đúng: Vận tốc phụ thuộc vào
A. quãng đường chuyển động.
B. thời gian chuyển động.
C. cả A và B đúng.
D. cả A và B sai
Giải đáp:
Vận tốc được tính bằng công thức: 
Trong đó:
+ v: vận tốc
+ s: quãng đường
+ t: thời gian đi hết quãng đường đó
=> vận tốc phụ thuộc vào quãng đường chuyển động của vật và thời gian vật chuyển động trên quãng đường ấy
Đáp án cần chọn là: C
Câu 8: Vận tốc cho biết gì?
I. Tính nhanh hay chậm của chuyển động
II. Quãng đường đi được
III. Quãng đường đi được trong một đơn vị thời gian
IV. Tác dụng của vật này lên vật khác
A. I; II và III
B. II; III và IV
C. Cả I; II; III và IV
D. I và III
Giải đáp:
Độ lớn của vận tốc cho biết mức độ nhanh hay chậm của chuyển động và được xác định bằng độ dài quãng đường đi được trong một đơn vị thời gian.
Đáp án cần chọn là: D
Câu 9: Chọn phát biểu đúng:
A. Vận tốc cho biết tính nhanh hay chậm của chuyển động.
B. Vận tốc cho biết quãng đường đi được.
C. Vận tốc cho biết tính nhanh hay chậm của vận tốc
D. Vận tốc cho biết tác dụng vật này lên vật khác.
Giải đáp:
Độ lớn của vận tốc cho biết mức độ nhanh hay chậm của chuyển động và được xác định bằng độ dài quãng đường đi được trong một đơn vị thời gian.
Đáp án cần chọn là: A
Câu 10: Dựa vào bảng số liệu sau, hãy cho biết người chạy nhanh nhất là:
|
Họ và tên |
Quãng đường |
Thời gian (s) |
|
Nguyễn Chang |
100m |
10 |
|
Nguyễn Đào |
100m |
11 |
|
Nguyễn Mai |
100m |
9 |
|
Nguyễn Lịch |
100m |
12 |
A. Nguyễn Chang
B. Nguyễn Đào
C. Nguyễn Mai
D. Nguyễn Lịch
Giải đáp:
Ta có, vận tốc được xác định bởi biểu thức: 
Từ bảng số liệu cho thấy 4 người cùng chạy trên quãng đường bằng nhau
=> ai có thời gian ngắn nhất sẽ có vận tốc lớn nhất hay chạy nhanh nhất
=> Nguyễn Mai chạy nhanh nhất
Đáp án cần chọn là: C
Câu 11: Dựa vào bảng số liệu sau, hãy cho biết người chạy chậm nhất là:
|
Họ và tên |
Quãng đường |
Thời gian (s) |
|
Thu Chang |
100m |
10 |
|
Mai Đào |
100m |
11 |
|
Thanh Mai |
100m |
9 |
|
Nguyễn Lịch |
100m |
12 |
A. Thu Chang
B. Mai Đào
C. Thanh Mai
D. Nguyễn Lịch
Giải đáp:
Ta có, vận tốc được xác định bởi biểu thức:
Từ bảng số liệu cho thấy 4 người cùng chạy trên quãng đường bằng nhau
=> ai có thời gian lâu nhất sẽ có vận tốc nhỏ nhất hay chạy chậm nhất
=> Nguyễn Lịch chạy chậm nhất vì có thời gian lâu nhất
Đáp án cần chọn là: D
Câu 12: Đơn vị nào sau đây không phải là đơn vị của vận tốc?
A. m/s
B. km/h
C. kg/m3
D. m/phút
Giải đáp:
Các đơn vị của vận tốc là: m/s; km/h; m/phút
kg/m3 – không phải là đơn vị của vận tốc
Đáp án cần chọn là: C
Câu 13: Đơn vị nào sau đây không phải là đơn vị của vận tốc?
A. km/h
B. cm/s
C. m.h
D. m/s
Giải đáp:
Các đơn vị của vận tốc là: cm/s; km/h; m/s
m.h - không phải là đơn vị của vận tốc
Đáp án cần chọn là: C
Câu 14: Đơn vị của vận tốc là:
A. km.h
B. m.s
C. km/h
D. s/m
Giải đáp:
Đơn vị của vận tốc là km/h
Đáp án cần chọn là: C
Câu 15: Đơn vị của vận tốc là:
A. m.h
B. m.s
C. km/h
D. s/km
Giải đáp:
Đơn vị của vận tốc là km/h
Đáp án cần chọn là: C
Câu 16: 15m/s = ….. km/h
A. 36km/h
B. 0,015km/h
C. 72km/h
D. 54km/h
Giải đáp:
Ta có: 1m/s = 3,6km/h
Ta suy ra: 15m/s = 3,6.15 = 54km/h
Đáp án cần chọn là: D
Câu 17: Vận tốc của một vật là 10m/s. Kết quả nào sau đây tương ứng với vận tốc trên?
A. 36km/h
B. 54km/h
C. 48km/h
D. 60km/h
Giải đáp:
Ta có: 10m/s = 10.3,6km/h = 36km/h
Đáp án cần chọn là: A
Câu 18: 108km/h = ….m/s
A. 30m/s
B. 20m/s
C. 15m/s
D. 10m/s
Giải đáp:
Ta có : 1km/h = 
Ta suy ra: 108km/h = 
Đáp án cần chọn là: A
Câu 19: 72km/h tương ứng bao nhiêu m/s. Hãy chọn câu đúng:
A. 15m/s
B. 25m/s
C. 20m/s
D. 30m/s
Giải đáp:
Ta có
72km/h =
= 20m/s
Đáp án cần chọn là: C
Câu 20: Hãy sắp xếp các vận tốc sau theo thứ tự từ nhỏ đến lớn.
(1) Tàu hoả: 54km/h
(2) Chim đại bàng: 24m/s
(3) Cá bơi: 6000cm/phút
(4) Trái Đất quay quanh Mặt Trời: 108000km/h
A. (1), (2), (3), (4)
B. (3), (2), (1), (4)
C. (3), (1), (2), (4)
D. (3), (1), (4), (2)
Giải đáp:
Ta có:
+ Vận tốc của tàu hoả: v1 = 54km/h =
= 15m/s
+ Vận tốc của chim đại bàng: v2 = 24m/s
+ Vận tốc bơi của con cá: v3 = 6000cm/phút =
= 1m/s (đổi cm sang m và phút sang giây)
+ Vận tốc quay của Trái Đất quanh Mặt Trời:
v4 = 10800km/h =
= 30000m/s
=> Vận tốc được sắp xếp theo thứ tự tăng dần là: v3, v1, v2, v4 hay (3), (1), (2), (4)
Đáp án cần chọn là: C
Câu 21: Vận tốc của ô tô là 40km/h, của xe máy là 11,6m/s, của tàu hoả là 600m/phút. Cách sắp xếp theo thứ tự vận tốc giảm dần nào sau đây là đúng.
A. Tàu hỏa – ô tô – xe máy.
B. Ô tô- tàu hỏa – xe máy.
C. Tàu hỏa – xe máy – ô tô.
D. Xe máy – ô tô – tàu hỏa.
Giải đáp:
Ta có:
+ Vận tốc của ô tô: 40km/h =
m/s = 11,1m/s
+ Vận tốc của xe máy: 11,6m/s
+ Vận tốc của tàu hoả: 600m/phút =
m/s = 10m/s
Vậy sắp xếp theo thứ tự vận tốc giảm dần: xe máy, ô tô, tàu hỏa.
Đáp án cần chọn là: D
Câu 22: Vận tốc của ô tô là 36km/h, của người đi xe máy là 18m/s, của tàu hoả là 14m/s. Thứ tự sắp xếp nào sau đây đúng theo thứ tự nhanh nhất đến chậm nhất:
A. Ô tô - tàu hỏa - xe máy
B. Tàu hỏa - ô tô - xe máy
C. Xe máy - ô tô - tàu hỏa
D. Xe máy - tàu hỏa - ô tô.
Giải đáp:
Ta có:
+ Vận tốc của ô tô: 36km/h =
m/s = 10m/s
+ Vận tốc của xe máy:18m/s
+ Vận tóc của tàu hoả: 14m/s
Vậy sắp xếp theo thứ tự vận tốc từ nhanh nhất đến chậm nhất là: xe máy, tàu hỏa, ô tô.
Đáp án cần chọn là: D
Câu 23: Trong đêm tối từ lúc thấy tia chớp sáng lói đến khi nghe thấy tiếng bom nổ khoảng 15 giây. Hỏi chỗ bom nổ cách người quan sát bao xa? Biết vận tốc truyền âm trong không khí bằng 340m/s
A. 5100m
B. 5000m
C. 5200m
D. 5300m
Giải đáp:
Ta có:
Ta suy ra, Bom nổ cách người quan sát khoảng là:
s = vt = 340.15 = 5100m
Đáp án cần chọn là: A
Câu 24: Một người đi xe máy với vận tốc 12m/s trong thời gian 20 phút. Quãng đường người đó đi được là:
A. 240m
B. 2400m
C. 14,4km
D. 4km
Giải đáp:
Ta có: t = 20 phút = 20.60 = 1200s
=> s = v.t = 12.1200 = 14400m = 14,4km
Đáp án cần chọn là: C
Câu 25: Một người đi bộ với vận tốc 4,4km/h. Khoảng cách từ nhà đến nơi làm việc là bao nhiêu km, biết thời gian cần đi từ nhà đến nơi làm việc là 15 phút? Hãy chọn câu đúng.
A. 4,4km
B. 1,1km
C. 1,5km
D. 1,2km
Lời giải:
t = 15 phút =
= 0,25h
=> s = v.t = 4,4.0,25 = 1,1 km
Đáp án cần chọn là: B
Câu 26: Một xe đạp đi với vận tốc 12km/h. Con số đó cho ta biết điều gì? Hãy chọn câu trả lời đúng.
A. Thời gian đi của xe đạp.
B. Quãng đường đi của xe đạp.
C. Xe đạp đi 1 giờ được 12km.
D. Mỗi km xe đạp đi trong 12 giờ.
Giải đáp:Độ lớn của vận tốc cho biết mức độ nhanh hay chậm của chuyển động và được xác định bằng độ dài quãng đường đi được trong một đơn vị thời gian.
Do vậy con số 12km/h cho biết mỗi giờ xe đạp đi được 12km.
Đáp án cần chọn là: C
Câu 27: Vận tốc của ô tô là 36km/h cho biết điều gì? Hãy chọn câu đúng
A. Ô tô chuyển động được 36km
B. Ô tô chuyển động trong 1 giờ
C. Trong 1 giờ ô tô đi được 36km
D. Ô tô đi 1km trong 36 giờ
Giải đáp:Độ lớn của vận tốc cho biết mức độ nhanh hay chậm của chuyển động và được xác định bằng độ dài quãng đường đi được trong một đơn vị thời gian. Do vậy con số 36km/h cho biết mỗi giờ ô tô đi được 36km.
Đáp án cần chọn là: C
Câu 28: Trong các công thức biểu diễn mối quan hệ giữa S, v, t sau đây công thức nào đúng.
A. S = v/t
B. t = v/S
C. t = S/v
D. S = t/v
Lời giải:
=> t = S/v
Đáp án cần chọn là: C
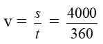
Câu 29: Một người đi xe máy trong 6 phút được quãng đường 4km. Vận tốc chuyển động của người đó là:
A. v = 40km/s
B. v = 400m/phút
C. v = 4km/ph
D. v = 11,1m/s
Giải đáp
s = 4km = 4000m
t = 6 phút = 6.60s = 360s
Vận tốc người đi xe máy:
= 11,1m/s
Đáp án cần chọn là: D
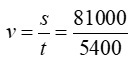
Câu 30: Một đoàn tàu chuyển động trong thời gian 1,5h đi đoạn đường dài 81000m. Vận tốc của tàu tính ra km/h và m/s là giá trị nào trong các giá trị sau:
A. 36km/h và 10m/s
B. 72km/h và 20m/s
C. 18km/h và 5m/s
D. 54km/h và 15m/s
Giải đáp:
Ta có: t = 1,5h = 1,5.3600s = 5400s
Vận tốc của đoàn tàu là:
= 15m/s = 15.3,6km/h = 54km/h
Đáp án cần chọn là: D
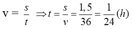
Câu 31: Một người đi quãng đường dài 1,5km với vận tốc 10m/s. Thời gian để người đó đi hết quãng đường là:
A. t = 0,15 giờ
B. t = 15 giây
C. t = 2,5 phút
D. t = 14,4 phút
Giải đáp:
Ta có:
v = 10m/s = 10.3,6km/h = 36km/h

= 2,5(phút) = 150(s)
Đáp án cần chọn là: C
Câu 32: Trong các câu nói về vận tốc dưới đây câu nào sai?
A. Vận tốc cho bíêt mức độ nhanh hay chậm của chuyển động.
B. Độ lớn của vận tốc được tính bằng quãng đường đi được trong một đơn vị thời gian.
C. Công thức tính vận tốc là: 
D. Đơn vị của vận tốc là km/h.
Giải đáp:
Công thức tính vận tốc là
do vậy phát biểu C sai.
Đáp án cần chọn là: C
Tổng hợp các câu trắc nghiệm Vật lý lớp 8 có đáp án: ôn bài, ôn tập chương, kiểm tra, thi
Suckhoecuocsong
Các tin liên quan
Các tin khác
-
Câu hỏi trắc nghiệm Địa lí lớp 10 bài 2 ôn tập: Một số phương pháp biểu hiện các đối tượng địa lí trên bản đồ
Câu hỏi trắc nghiệm Địa lí lớp 10 bài 2 ôn tập có đáp án: Một số phương pháp biểu hiện các đối tượng địa lí trên bản đồ -
Câu hỏi trắc nghiệm Địa lí lớp 10 bài 2 có đáp án: Một số phương pháp biểu hiện các đối tượng địa lí trên bản đồ (Phần 2)
Câu hỏi trắc nghiệm Địa lí lớp 10 bài 2 có đáp án chính xác: Một số phương pháp biểu hiện các đối tượng địa lí trên bản đồ (Phần 2) -
Câu hỏi trắc nghiệm Địa lí lớp 10 bài 2 có đáp án: Một số phương pháp biểu diễn các đối tượng địa lí trên bản đồ (Phần 1)
Câu hỏi trắc nghiệm Địa lí lớp 10 bài 2 có đáp án chính xác: Một số phương pháp biểu diễn các đối tượng địa lí trên bản đồ (Phần 1) -
Câu hỏi trắc nghiệm Địa lí lớp 10 bài 1 có đáp án: Các phép chiếu hình bản đồ (Phần 2)
Câu hỏi trắc nghiệm Địa lí lớp 10 bài 1 có đáp án chính xác: Các phép chiếu hình bản đồ (Phần 2) -
Câu hỏi trắc nghiệm Địa lí lớp 10 bài 1 có đáp án: Các phép chiếu hình bản đồ (Phần 1)
Câu hỏi trắc nghiệm Địa lí lớp 10 bài 1 có đáp án chính xác: Các phép chiếu hình bản đồ (Phần 1) -
Câu trắc nghiệm Địa lý lớp 10 theo bài, ôn tập có đáp án
Câu trắc nghiệm Địa lý lớp 10 theo bài, ôn tập có đáp án chính xác -
Câu hỏi trắc nghiệm Sinh học lớp 10 bài 3 ôn tập: Các nguyên tố hóa học và nước
Câu hỏi trắc nghiệm Sinh học lớp 10 bài 3 ôn tập có đáp án: Các nguyên tố hóa học và nước -
Câu hỏi trắc nghiệm Sinh học lớp 10 Bài 3 có đáp án: Các nguyên tố hóa học và nước
Câu hỏi trắc nghiệm Sinh học lớp 10 Bài 3 có đáp án chính xác: Các nguyên tố hóa học và nước -
Câu hỏi trắc nghiệm Sinh học lớp 10 bài 2 ôn tập: Các giới sinh vật
Câu hỏi trắc nghiệm Sinh học lớp 10 bài 2 ôn tập có đáp án: Các giới sinh vật -
Câu hỏi trắc nghiệm Sinh học lớp 10 bài 2 có đáp án: Các giới sinh vật
Câu hỏi trắc nghiệm Sinh học lớp 10 bài 2 có đáp án: Các giới sinh vật
