Trắc nghiệm Vật lý 8 Bài 5 có đáp án: Sự cân bằng lực, Quán tính (Tiếp)
Trắc nghiệm vật lý 8 Bài 5: Sự cân bằng lực - Quán tính (Tiếp)
Câu 1: Hai lực cân bẳng là:
A. hai lực cùng đặt lên một vật, có cường độ bằng nhau, phương nằm trên cùng một đường thẳng, chiều ngược nhau
B. hai lực cùng đặt lên một vật, có cường độ bằng nhau, phương nằm trên cùng một đường thẳng, chiều cùng nhau
C. hai lực được đặt lên hai vật, có cường độ bằng nhau, phương nằm trên cùng một đường thẳng, chiều ngược nhau
D. hai lực được đặt lên hai vật, có cường độ bằng nhau, phương nằm trên cùng một đường thẳng, chiều cùng nhau
Lời giải:Hai lực cân bằng là hai lực cùng đặt lên một vật, có cường độ bằng nhau, phương nằm trên cùng một đường thẳng, chiều ngược nhau
Đáp án cần chọn là: A
Câu 2: Phát biểu nào sau đây là đúng?
A. Hai lực cân bằng là hai lực cùng đặt lên một vật, có cường độ bằng nhau, phương nằm trên cùng một đường thẳng, chiều ngược nhau
B. Hai lực cân bằng là hai lực được đặt lên hai vật, có cường độ bằng nhau, phương nằm trên cùng một đường thẳng, chiều ngược nhau
C. Hai lực cân bằng là hai lực cùng đặt lên một vật, có cường độ bằng nhau, phương nằm trên cùng một đường thẳng, chiều cùng nhau
D. Hai lực cân bằng là hai lực được đặt lên hai vật, có cường độ bằng nhau, phương nằm trên cùng một đường thẳng, chiều cùng nhau
Lời giải:
Hai lực cân bằng là hai lực cùng đặt lên một vật, có cường độ bằng nhau, phương nằm trên cùng một đường thẳng, chiều ngược nhau
Đáp án cần chọn là: A
Câu 3: Thế nào là hai lực cân bằng?
A. Hai lực cùng cường độ, có phương trên cùng một đường thẳng, ngược chiều và cùng tác dụng vào một vật.
B. Hai lực cùng cường độ, có phương trên cùng một đường thẳng, cùng chiều và cùng tác dụng vào một vật.
C. Hai lực cùng cường độ, có phương trên cùng một đường thẳng và ngược chiều.
D. Hai lực cùng cường độ, cùng phương, cùng chiều và cùng tác dụng vào một vật.
Lời giải:
Hai lực cân bằng là hai lực cùng đặt lên một vật, có cường độ bằng nhau, phương nằm trên cùng một đường thẳng, chiều ngược nhau
Đáp án cần chọn là: A
Câu 4: Câu nào sau đây không đúng khi nói về các lực cân bằng:
A. Hai lực cân bằng cùng đặt lên một vật.
B. Hai lực có độ lớn bằng nhau.
C. Hai lực cân bằng cùng chiều nhau.
D. Hai lực cân bằng có phương nằm trên một đường thẳng.
Lời giải:
Hai lực cân bằng là hai lực cùng đặt lên một vật, có cường độ bằng nhau, phương nằm trên cùng một đường thẳng, chiều ngược nhau.
Đáp án cần chọn là: C
Câu 5: Chuyển động theo quán tính là:
A. Dưới tác dụng của các lực cân bằng một vật đang đứng yên sẽ chuyển động, đang chuyển động sẽ tiếp tục chuyển động thẳng đều
B. Dưới tác dụng của các lực cân bằng một vật đang đứng yên sẽ tiếp tục đứng yên, đang chuyển động sẽ dừng lại.
C. Dưới tác dụng của các lực cân bằng một vật đang đứng yên sẽ tiếp tục đứng yên, đang chuyển động sẽ tiếp tục chuyển động thẳng đều
D. Dưới tác dụng của các lực cân bằng một vật đang đứng yên sẽ chuyển động, đang chuyển động sẽ dừng lại.
Lời giải:
Ta có: Dưới tác dụng của các lực cân bằng một vật đang đứng yên sẽ tiếp tục đứng yên, đang chuyển động sẽ tiếp tục chuyển động thẳng đều. Chuyển động này được gọi là chuyển động theo quán tính.
Đáp án cần chọn là: C
Câu 6: Phát biểu nào sau đây đúng?
A. Dưới tác dụng của các lực cân bằng một vật đang đứng yên sẽ chuyển động, đang chuyển động sẽ tiếp tục chuyển động thẳng đều.
B. Dưới tác dụng của các lực cân bằng một vật đang đứng yên sẽ tiếp tục đứng yên, đang chuyển động sẽ dừng lại.
C. Dưới tác dụng của các lực cân bằng một vật đang đứng yên sẽ tiếp tục đứng yên, đang chuyển động sẽ tiếp tục chuyển động thẳng đều.
D. Dưới tác dụng của các lực cân bằng một vật đang đứng yên sẽ chuyển động, đang chuyển động sẽ dừng lại.
Lời giải:
Ta có: Dưới tác dụng của các lực cân bằng một vật đang đứng yên sẽ tiếp tục đứng yên, đang chuyển động sẽ tiếp tục chuyển động thẳng đều.
Đáp án cần chọn là: C
Câu 7: Trường hợp nào dưới đây chuyển động mà không có lực tác dụng.
A. Xe máy đang đi trên đường
B. Xe đạp chuyển động trên đường do quán tính.
C. Chiếc thuyền chạy trên sông
D. Chiếc đu quay đang quay
Lời giải:
Xe đạp chuyển động trên đường do quán tính là trường hợp chuyển động mà không có lực tác dụng.
Đáp án cần chọn là: B
Câu 8: Trường hợp nào dưới đây chuyển động mà không có lực tác dụng.
A. Ô tô đang đi trên đường.
B. Xe kéo đang lên dốc.
C. Quả bóng rơi từ trên cao xuống.
D. Người đang đi xe đạp thì ngừng đạp, nhưng xe vẫn chuyển động phía trước.
Lời giải:
Người đang đi xe đạp thì ngừng đạp, nhưng xe vẫn chuyển động phía trước.là trường hợp chuyển động mà không có lực tác dụng.
Đáp án cần chọn là: D
Câu 9: Một vật chịu tác dụng của hai lực và đang chuyển động thẳng đều. Nhận xét nào sau đây là đúng?
A. Hai lực tác dụng là hai lực cân bằng
B. Hai lực tác dụng có độ lớn khác nhau
C. Hai lực tác dụng có phương khác nhau
D. Hai lực tác dụng có cùng chiều
Lời giải:
Ta có: Dưới tác dụng của các lực cân bằng một vật đang đứng yên sẽ tiếp tục đứng yên, đang chuyển động sẽ tiếp tục chuyển động thẳng đều.
Theo đề bài, ta có: vật chịu tác dụng của hai lực và đang chuyển động thẳng đều => hai lực tác dụng là hai lực cân bằng.
Đáp án cần chọn là: A
Câu 10: Khi vật chịu tác dụng của hai lực cân bằng thì:
A. Vật đang đứng yên sẽ chuyển động.
B. Vật đang chuyển động sẽ chuyển động chậm dần.
C. Vật đang chuyển động sẽ tiếp tục chuyển động thẳng đều.
D. Vật đang chuyển động sẽ chuyển động nhanh dần.
Lời giải:
Khi vật chịu tác dụng của hai lực cân bằng thì vật đang đứng yên sẽ tiếp tục đứng yên, đang chuyển động sẽ tiếp tục chuyển động thẳng đều.
Đáp án cần chọn là: C
Câu 11: Một vật đang chuyển động thẳng đều, chịu tác dụng của hai lực F1, F2. Điều nào sau đây đúng?
A. Khi hai lực tác dụng có phương khác nhau
B. Khi hai lực tác dụng có cùng chiều
C. Khi các lực tác dụng lên vật cân bằng nhau
D. Khi các lực tác dụng lên vật có độ lớn khác nhau
Lời giải:
Ta có: Dưới tác dụng của các lực cân bằng một vật đang đứng yên sẽ tiếp tục đứng yên, đang chuyển động sẽ tiếp tục chuyển động thẳng đều.
Theo đề bài, ta có: Vật đang chuyển động thẳng đều, chịu tác dụng của hai lực F1,F2 => hai lực tác dụng là hai lực cân bằng.
Đáp án cần chọn là: C
Câu 12: Trong các trường hợp sau trường hợp nào vận tốc của vật không thay đổi? Hãy chọn câu đúng nhất?
A. Khi có một lực tác dụng
B. Khi có hai lực tác dụng với độ lớn khác nhau
C. Khi có các lực tác dụng lên vật cân bằng
D. Khi có các lực tác dụng lên vật không cân bằng
Lời giải:
Khi vật chịu tác dụng của hai lực cân bằng thì vật đang đứng yên sẽ tiếp tục đứng yên, đang chuyển động sẽ tiếp tục chuyển động thẳng đều.
Đáp án cần chọn là: C
Câu 13: Câu nào sau đây đúng khi nói về tác dụng của các lực cân bằng?
A. Hai lực cân bằng không làm thay đổi vận tốc của vật.
B. Hai lực cân bằng làm thay đổi vận tốc của vật.
C. Hai lực cân bằng làm cho vật chuyển động chậm dần.
D. Hai lực cân bằng làm cho vật chuyển động nhanh dần.
Lời giải:
Ta có: Dưới tác dụng của các lực cân bằng một vật đang đứng yên sẽ tiếp tục đứng yên, đang chuyển động sẽ tiếp tục chuyển động thẳng đều.
Suy ra: Hai lực cân bằng không làm thay đổi vận tốc của vật.
Đáp án cần chọn là: A
Câu 14: Một xe ô tô đang chuyển động thẳng thì đột ngột dừng lại. Hành khách trên xe sẽ như thế nào? Hãy chọn câu trả lời đúng.
A. Hành khách nghiêng sang phải
B. Hành khách nghiêng sang trái
C. Hành khách ngã về phía trước
D. Hành khách ngã về phía sau
Lời giải:
Khi xe ô tô đang chuyển động thẳng thì đột ngột dừng lại. Hành khách trên xe sẽ ngã về phía trước do có quán tính.
Đáp án cần chọn là: C
Câu 15: Một xe ô tô đang chuyển động thẳng thì đột ngột rẽ trái. Hành khách trên xe sẽ như thế nào? Hãy chọn câu trả lời đúng.
A. Hành khách nghiêng sang phải
B. Hành khách nghiêng sang trái
C. Hành khách ngã về phía trước
D. Hành khách ngã về phía sau
Lời giải:
Khi xe ô tô đang chuyển động thẳng thì đột ngột rẽ trái, hành khách trên xe sẽ nghiêng về bên phải do có quán tính.
Đáp án cần chọn là: A
Câu 16: Khi ngồi trên ô tô hành khách thấy mình nghiêng người sang phải. Câu nhận xét nào sau đây là đúng?
A. Xe đột ngột tăng vận tốc
B. Xe đột ngột giảm vận tốc
C. Xe đột ngột rẽ sang phải
D. Xe đột ngột rẽ sang trái
Lời giải:
Do quán tính nên khi ngồi trên ô tô hành khách thấy mình nghiêng người sang phải khi xe đột ngột rẽ sang trái.
Đáp án cần chọn là: D
Câu 17: Hành khách ngồi trên xe ô tô đang chuyển động bỗng thấy mình bị nghiêng về phía trái, chứng tỏ xe:
A. Đột ngột giảm vận tốc
B. Đột ngột giảm vận tốc
C. Đột ngột rẽ sang trái
D. Đột ngột rẽ sang phải
Lời giải:
Do quán tính nên khi ngồi trên ô tô hành khách thấy mình nghiêng người sang trái khi xe đột ngột rẽ sang phải.
Đáp án cần chọn là: D
Câu 18: Trong các chuyển động sau chuyển động nào là chuyển động do quán tính?
A. Hòn đá lăn từ trên núi xuống
B. Xe máy chạy trên đường
C. Lá rơi từ trên cao xuống
D. Xe đạp chạy sau khi thôi không đạp xe nữa
Lời giải:
Chuyển động của xe đạp chạy sau khi thôi không đạp xe nữa là chuyển động do quán tính
Đáp án cần chọn là: D
Câu 19: Trong các chuyển động sau đây chuyển động nào là chuyển động do quán tính?
A. Ô tô đang chuyển động
B. Chuyển động của dòng nước chảy trên sông
C. Xe đạp ngừng đạp nhưng xe vẫn còn chuyển động
D. Chuyển động của một vật rơi xuống
Lời giải:
Chuyển động của xe đạp khi ngừng đạp nhưng xe vẫn còn chuyển động là chuyển động do quán tính.
Đáp án cần chọn là: C
Câu 20: Hai lực cân bằng là hai lực:
A. cùng điểm đặt, cùng phương, cùng chiều và cường độ bằng nhau.
B. cùng điểm đặt, cùng phương, ngược chiều và cường độ bằng nhau.
C. đặt trên hai vật khác nhau, cùng phương, cùng chiều và cường độ bằng nhau.
D. đặt trên hai vật khác nhau, cùng phương, ngược chiều và cường độ bằng nhau.
Lời giải:
Hai lực cân bằng là hai lực cùng đặt lên một vật, có cường độ bằng nhau, phương nằm trên cùng một đường thẳng, chiều ngược nhau
Đáp án cần chọn là: B
Câu 21: Thế nào là hai lực cân bằng?
A. Hai lực cùng cường độ, có phương trên cùng một đường thẳng, ngược chiều và cùng tác dụng vào một vật.
B. Hai lực cùng cường độ, có phương trên cùng một đường thẳng, cùng chiều và cùng tác dụng vào một vật.
C. Hai lực cùng cường độ, có phương trên cùng một đường thẳng và ngược chiều.
D. Hai lực cùng cường độ, cùng phương, cùng chiều và cùng tác dụng vào một vật.
Lời giải:
Hai lực cân bằng là hai lực cùng đặt lên một vật, có cường độ bằng nhau, phương nằm trên cùng một đường thẳng, chiều ngược nhau.
Đáp án cần chọn là: A
Câu 22: Hai lực đặt lên một vật, cùng cường độ, phương cùng nằm trên một đường thẳng, ngược chiều là:
A. Hai lực không cân bằng
B. Hai lực cân bằng
C. Quán tính
D. Khối lượng
Lời giải:
Hai lực cân bằng là hai lực cùng đặt lên một vật, có cường độ bằng nhau, phương nằm trên cùng một đường thẳng, chiều ngược nhau.
Đáp án cần chọn là: B
Câu 23: Một vật đang đứng yên trên mặt phẳng nằm ngang. Các lực tác dụng vào vật cân bằng nhau là:
A. Trọng lực P của Trái Đất với lực ma sát F của mặt bàn
B. Trọng lực P của Trái Đất với lực đàn hồi
C. Trọng lực P của Trái Đất với phản lực N của mặt bàn
D. Lực ma sát F với phản lực N của mặt bàn
Lời giải:
+ Các lực tác dụng lên vật gồm: Trọng lực và phản lực

+ Trọng lực cân bằng với phản lực
Đáp án cần chọn là: C
Câu 24: Cốc nước được đặt đứng yên trên mặt bàn. Các lực tác dụng vào cốc cân bằng nhau là:
A. Trọng lực P của Trái Đất với lực ma sát F của mặt bàn.
B. Trọng lực P của Trái Đất với lực đàn hồi.
C. Trọng lực P của Trái Đất với phản lực N của mặt bàn.
D. Lực ma sát F với phản lực N của mặt bàn.
Lời giải:
+ Các lực tác dụng cốc gồm: Trọng lực và phản lực

+ Trọng lực cân bằng với phản lực
Đáp án cần chọn là: C
Câu 25: Khi có lực tác dụng, mọi vật đều không thể thay đổi vận tốc đột ngột được vì mọi vật đều có:
A. ma sát
B. trọng lực
C. quán tính
D. đàn hồi
Lời giải:
Khi có lực tác dụng, mọi vật không thể thay đổi vận tốc một cách đột ngột được vì có quán tính.
Đáp án cần chọn là: C
Câu 26: Tính chất giữ nguyên vận tốc của vật là:
A. Hai lực không cân bằng
B. Hai lực cân bằng
C. Quán tính
D. Khối lượng
Lời giải
Tính chất giữ nguyên vận tốc của vật là quán tính.
Đáp án cần chọn là: C
Câu 27: Quán tính là:
A. tính chất giữ nguyên độ lớn và hướng của vận tốc.
B. tính chất giữ nguyên trọng lượng của vật.
C. tính chất giữ nguyên khối lượng của vật.
D. tính chất giữ nguyên thể tích của vật.
Lời giải:
Tính chất giữ nguyên vận tốc của vật là quán tính.
Đáp án cần chọn là: A
Câu 28: Chọn câu sai.
A. Quán tính của vật có quan hệ với khối lượng của vật đó.
B. Vì có quán tính nên mọi vật không thể thay đổi vận tốc ngay được.
C. Vật có khối lượng lớn thì có quán tính nhỏ.
D. Tính chất giữ nguyên vận tốc của vật gọi là quán tính.
Lời giải:
C sai vì: Vật có khối lượng lớn thì có quán tính lớn.
Đáp án cần chọn là: C
Câu 29: Quan sát hình vẽ bên, cặp lực cân bằng là:

Lời giải:
Ta có: Hai lực cân bằng là hai lực cùng đặt lên một vật, có cường độ bằng nhau, phương nằm trên cùng một đường thẳng, chiều ngược nhau.
Từ hình, ta có: lực F1 và F4 cân bằng với nhau
Đáp án cần chọn là: B
Bài 30: Quan sát hình vẽ bên, cặp lực cân bằng là:

Giải đáp:
Ta có: Hai lực cân bằng là hai lực cùng đặt lên một vật, có cường độ bằng nhau, phương nằm trên cùng một đường thẳng, chiều ngược nhau.
Từ hình, ta có: lực F1 và F4 cân bằng với nhau
Đáp án cần chọn là: B
Bài 31: Một quả bóng khối lượng 0,5kg được treo vào đầu một sợi dây, phải giữ đầu dây với một lực bằng bao nhiêu để quả bóng nằm cân bằng.
A. 0,5 N
B. Nhỏ hơn 0,5 N
C. 5N
D. Nhỏ hơn 5N
Giải đáp:
+ Trọng lực của quả bóng: P = 10m = 10.0,5 = 5N
+ Để quả bóng cân bằng, cần phải giữ đầu dây một lực F = P = 5N
Đáp án cần chọn là: C
Bài 32: Một quả bóng khối lượng 1kg được treo vào đầu một sợi dây, phải giữ đầu dây với một lực bằng bao nhiêu để quả bóng nằm cân bằng.
A. 10 N
B. Nhỏ hơn 1 N
C. 1N
D. Nhỏ hơn 10N
Giải đáp:
+ Trọng lực của quả bóng: P = 10m = 1.10 = 10N
+ Để quả bóng cân bằng, cần phải giữ đầu dây một lực F = P = 10N
Đáp án cần chọn là: A
Bài 33: Một vật nằm yên trên mặt bàn nằm nghiêng (hình vẽ), lực cân bằng với trọng lực P là:

A. F1
B.N
C. Cả A, B đều đúng
D. Cả A, B đều sai
Giải đáp:

Phân tích P thành hai thành phần P1, P2 như hình vẽ, ta có:
+ F1 cân bằng với P1
+ N cân bằng với P2
Đáp án cần chọn là: D
Bài 34: Một quả cầu được treo trên sợi chỉ tơ mảnh như hình vẽ. Cầm đầu B của sợi chỉ để giật thì sợi chỉ có thể bị đứt tại điểm A hoặc điểm C. Muốn sợi chỉ bị đứt tại điểm C thì ta phải giật như thế nào? Hãy chọn câu trả lời đúng.

A. Giật thật mạnh đầu B một cách khéo léo
B. Giật đầu B một cách từ từ
C. Giật thật nhẹ đầu B
D. Vừa giật vừa quay sợi chỉ
Giải đáp:Đáp án: A: Muốn sợi chỉ bị đứt tại điểm C thì ta phải giật thật mạnh đầu B một cách khéo léo, khi đó quả cầu sẽ chuyển động lên trên theo quán tính.
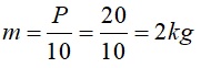
Bài 35: Treo một vật vào một lực kế thấy lực kế chỉ 30N. Khối lượng vật là bao nhiêu?
A. m > 3kg
B. m = 30kg
C. m = 3kg
D. m < 3kg
Giải đáp:Ta có:
+ Số chỉ của lực kế chính là trọng lực của vật: F = P = 30N
+ Trọng lực: P = 10m →
Đáp án cần chọn là: C
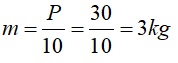
Bài 36: Treo một vật vào một lực kế thấy lực kế chỉ 20N. Khối lượng vật bao nhiêu?
A. m > 2kg
B. m = 20kg
C. m = 2kg
D. m < 2kg
Giải đáp:Ta có:
+ Số chỉ của lực kế chính là trọng lực của vật: F = P = 20N
+ Trọng lực: P = 10m →
Đáp án cần chọn là: C
Bài 37: Trong cách mô tả sau đây về tương quan giữa trọng lượng P và lực căng T, câu nào đúng?

A. Cùng phương, ngược chiều, cùng độ lớn
B. Cùng phương, cùng chiều, cùng độ lớn
C. Cùng phương, ngược chiều, khác độ lớn
D. Không cùng giá, ngược chiều, cùng độ lớn
Giải đáp:Ta có: Trọng lượng P và lực căng T cùng phương, ngược chiều, cùng độ lớn.
Đáp án cần chọn là: A
Bài 38: Khi xe tăng tốc đột ngột, hành khách trên xe có xu hướng bị ngã ra phía sau. Câu giải thích nào sau đây là đúng?
A. Do người có khối lượng lớn
B. Do quán tính
C. Do các lực tác dụng lên người cân bằng nhau
D. Một lí do khác
Giải đáp:Do quán tính nên khi ngồi trên ô tô hành khách có xu hướng ngả người phía sau khi xe đột ngột tăng tốc.
Đáp án cần chọn là: B
Bài 39: Khi bút tắc mực, ta thường cầm bút vẩy mạnh bút lại tiếp tục viết được. Câu giải thích nào sau đây là đúng?
A. Sự cân bằng lực của mực trong bút
B. Quán tính
D. Bút bị hỏng
C. Tính linh động của chất lỏng
Giải đáp:Đáp án: B: Bút tắc mực, nếu vẩy mạnh, bút lại có thể viết tiếp được vì do quán tính nên mực tiếp tục chuyển động xuống đầu ngòi bút khi bút đã dừng lại.
Bài 40: Với cùng cường độ, cách biểu diễn hai lực cân bằng nào sau đây đúng?

A. Hình 1
B. Hình 2
C. Hình 3
D. Hình 4
Giải đáp:Đáp án: B: Hai lực cân bằng là hai lực cùng đặt lên một vật, có cường độ bằng nhau, phương nằm trên cùng một đường thẳng, chiều ngược nhau.
Tổng hợp các câu trắc nghiệm Vật lý lớp 8 có đáp án: ôn bài, ôn tập chương, kiểm tra, thi
Suckhoecuocsong.vn/TH
Các tin liên quan
Các tin khác
-
Câu hỏi trắc nghiệm Địa lí lớp 10 bài 2 ôn tập: Một số phương pháp biểu hiện các đối tượng địa lí trên bản đồ
Câu hỏi trắc nghiệm Địa lí lớp 10 bài 2 ôn tập có đáp án: Một số phương pháp biểu hiện các đối tượng địa lí trên bản đồ -
Câu hỏi trắc nghiệm Địa lí lớp 10 bài 2 có đáp án: Một số phương pháp biểu hiện các đối tượng địa lí trên bản đồ (Phần 2)
Câu hỏi trắc nghiệm Địa lí lớp 10 bài 2 có đáp án chính xác: Một số phương pháp biểu hiện các đối tượng địa lí trên bản đồ (Phần 2) -
Câu hỏi trắc nghiệm Địa lí lớp 10 bài 2 có đáp án: Một số phương pháp biểu diễn các đối tượng địa lí trên bản đồ (Phần 1)
Câu hỏi trắc nghiệm Địa lí lớp 10 bài 2 có đáp án chính xác: Một số phương pháp biểu diễn các đối tượng địa lí trên bản đồ (Phần 1) -
Câu hỏi trắc nghiệm Địa lí lớp 10 bài 1 có đáp án: Các phép chiếu hình bản đồ (Phần 2)
Câu hỏi trắc nghiệm Địa lí lớp 10 bài 1 có đáp án chính xác: Các phép chiếu hình bản đồ (Phần 2) -
Câu hỏi trắc nghiệm Địa lí lớp 10 bài 1 có đáp án: Các phép chiếu hình bản đồ (Phần 1)
Câu hỏi trắc nghiệm Địa lí lớp 10 bài 1 có đáp án chính xác: Các phép chiếu hình bản đồ (Phần 1) -
Câu trắc nghiệm Địa lý lớp 10 theo bài, ôn tập có đáp án
Câu trắc nghiệm Địa lý lớp 10 theo bài, ôn tập có đáp án chính xác -
Câu hỏi trắc nghiệm Sinh học lớp 10 bài 3 ôn tập: Các nguyên tố hóa học và nước
Câu hỏi trắc nghiệm Sinh học lớp 10 bài 3 ôn tập có đáp án: Các nguyên tố hóa học và nước -
Câu hỏi trắc nghiệm Sinh học lớp 10 Bài 3 có đáp án: Các nguyên tố hóa học và nước
Câu hỏi trắc nghiệm Sinh học lớp 10 Bài 3 có đáp án chính xác: Các nguyên tố hóa học và nước -
Câu hỏi trắc nghiệm Sinh học lớp 10 bài 2 ôn tập: Các giới sinh vật
Câu hỏi trắc nghiệm Sinh học lớp 10 bài 2 ôn tập có đáp án: Các giới sinh vật -
Câu hỏi trắc nghiệm Sinh học lớp 10 bài 2 có đáp án: Các giới sinh vật
Câu hỏi trắc nghiệm Sinh học lớp 10 bài 2 có đáp án: Các giới sinh vật
