Câu trắc nghiệm Vật lý 8 tổng kết chương 1 có đáp án: Cơ học
Câu trắc nghiệm Vật lý 8 tổng kết chương 1 có đáp án: Cơ học
Bài 1: Hai xe lửa chuyển động trên các đường ray song song, cùng chiều với cùng vận tốc. Một người ngồi trên xe lửa thứ nhất sẽ:
A. đứng yên so với xe lửa thứ hai.
B. đứng yên so với mặt đường.
C. chuyển động so với xe lửa thứ hai.
D. chuyển động ngược lại.
Giải đáp: Đáp án cần chọn là A: Hai xe lửa chuyển động trên các đường ray song song, cùng chiều với cùng vận tốc. Một người ngồi trên xe lửa thứ nhất sẽ đứng yên so với xe lửa thứ hai.
Bài 2: Một ô tô chuyển động thẳng đều trên đoạn đường từ địa điểm M đến địa điểm N với thời gian dự tính là t. Nếu tăng vận tốc của ô tô lên 1,5 lần thì thời gian t
A. giảm 2/3 lần
B. tăng 4/3 lần
C. giảm 3/4 lần
D. tăng 3/2 lần
Giải đáp: Đáp án cần chọn là A: Thời gian t = s/v. Khi tăng vận tốc thành v’ = 1,5v thì thời gian là t' = s/1,5v
Tỉ số:

Bài 3: Một xe ô tô chở hành khách chuyển động đều trên đoạn đường 54 km, với vận tốc 36 km/h. Thời gian đi hết quãng đường đó của xe là:
A. 2/3 giờ
B. 1,5 giờ
C. 75 phút
D. 120 phút
Giải đáp: Đáp án cần chọn là B: Thời gian đi hết quãng đường đó của xe là: t = s/v = 54/36 = 1,5 giờ
Bài 4: Trường hợp nào sau đây sinh công cơ học?
A. Một vật nặng rơi từ trên cao xuống.
B. Dòng điện chạy qua dây điện trở để làm nóng bếp điện.
C. Mặt Trăng quay quanh Trái Đất dưới tác dụng của trọng trường.
D. Nước được đun sôi nhờ bếp ga.
Giải đáp: Đáp án cần chọn là A: Một vật nặng rơi từ trên cao xuống là trường hợp sinh công cơ học
Bài 5: Một người đứng bằng hai tấm ván mỏng đặt trên sàn nhà và tác dụng lên mặt sàn một áp suất 1,6.104 N/m2. Diện tích của một tấm ván tiếp xúc với mặt sàn là 2dm2. Bỏ qua khối lượng của tấm ván, khối lượng của người đó tương ứng là
A. 40 kg
B. 80 kg
C. 32 kg
D. 64 kg
Giải đáp: Đáp án cần chọn là D: Trọng lượng của người đó:
P = F = p.S = 2.1,6.104.0,02 = 640 N
Khối lượng của người đó là:

Bài 6: Tay ta cầm nắm được các vật là nhờ có:
A. Ma sát trượt
B. Ma sát nghỉ
C. Ma sát lăn
D. Quán tính
Giải đáp: Đáp án cần chọn là B: Tay ta cầm nắm được các vật là nhờ có lực ma sát nghỉ
⇒ Đáp án cần chọn là B
Bài 7: Trong một thùng chứa nước, nước ở đáy chịu áp suất:
A. Nhỏ hơn nước ở trên miệng thùng.
B. Như ở trên miệng thùng.
C. Lớn hơn nước ở miệng thùng.
D. Nhỏ hơn, bằng hoặc lớn hơn tùy theo điều kiện bên ngoài.
Giải đáp: Đáp án cần chọn là C: Trong một thùng chứa nước, nước ở đáy chịu áp suất lớn hơn nước ở miệng thùng.
Bài 8: Một vật có khối lượng 3600 g có khối lượng riêng bằng 1,8 g/cm3. Khi thả vào chất lỏng có trọng lượng riêng bằng 8500 N/m3, nó hoàn toàn nằm dưới mặt chất lỏng. Lực đẩy Ác – si – mét lên vật có độ lớn bằng
A. 17 N
B. 8,5 N
C. 4 N
D. 1,7 N
Giải đáp: Đáp án cần chọn là: A
- Thể tích vật:

- Lực đẩy Ác – si – mét lên vật FA = dl.V = 8500.0,002 = 17 N
Bài 9: Tìm câu sai trong các câu dưới đây?
A. Nước trong đập chắn của nhà máy thủy điện có khả năng sinh công cơ học.
B. Hàng ngày người nông dân và công nhân trong quá trình lao động của mình đã tiêu tốn nhiều công cơ học vì họ đã sử dụng sức của cơ bắp.
C. Thầy cô giáo khi đi lại trên bục giảng cũng tiêu tốn không ít công cơ học.
D. Lực hút của Trái Đất đối với viên bi đã sinh ra một công cơ học làm cho nó chuyển động trên mặt phẳng nằm ngang.
Giải đáp: Đáp án cần chọn là D: Viên bi chuyển động trên mặt phẳng nằm ngang, lực hút của Trái Đất đối với viên bi không sinh công cơ học (vì lực này vuông góc với đường đi).
Bài 10: Ba lực cùng phương có cường độ lần lượt là F1 = 20N, F2 = 60N và F3 = 40N cùng tác dụng vào một vật. Để vật đứng yên, ba lực đó phải thỏa mãn:
A. F1→, F2→ cùng chiều nhau và F3→ ngược chiều với hai lực trên.
B. F1→, F3→ cùng chiều nhau và F2→ ngược chiều với hai lực trên.
C. F2→, F3→ cùng chiều nhau và F1→ ngược chiều với hai lực trên.
D. F1→, F2→ cùng chiều nhau và F3→ cùng chiều hay ngược chiều F1→ đều được.
Giải đáp: Đáp án cần chọn là B: Để vật đứng yên, ba lực đó phải thỏa mãn F1→, F3→ cùng chiều nhau và F2→ ngược chiều với hai lực trên. Khi đó hợp lực của chúng F = F1 + F3 – F2 = 0
Bài 11: Ý nghĩa của vòng bi trong các ổ trục là:
A. Thay ma sát nghỉ bằng ma sát trượt.
B. Thay ma sát trượt bằng ma sát lăn.
C. Thay ma sát nghỉ bằng ma sát lăn.
D. Thay lực ma sát nghỉ bằng lực quán tính.
Giải đáp: Đáp án cần chọn là B: Ý nghĩa của vòng bi trong các ổ trục là thay ma sát trượt bằng ma sát lăn vì ma sát trượt lớn hơn nhiều so với ma sát lăn.
Bài 12: Bầu khí quyển quanh Trái Đất dày khoảng 160 km. Trọng lực giữ chúng không cho thoát ra ngoài vũ trụ. Lớp khí đó có ảnh hưởng như thế nào đến chúng ta khi leo lên núi cao?
A. Nó tác dụng lên ta ít hơn khi lên cao.
B. Nó tác dụng lên ta nhiều hơn khi lên cao.
C. Chẳng có ảnh hưởng gì vì cơ thể ta đã quen với nó.
D. Chẳng có ảnh hưởng gì vì cơ thể ta có thể điều chỉnh để thích nghi với nó.
Giải đáp: Đáp án cần chọn là A: Khi lên cao lớp không khí càng mỏng và loãng nên áp suất giảm, như vậy nó tác dụng lên ta ít hơn khi lên cao
Bài 13: Câu nào trong các câu sau mô tả cho sự nổi?
A. Một vật lơ lửng trong không khí hoặc không chìm trong nước.
B. Một vật có trọng lượng riêng lớn hơn trọng lượng riêng của môi trường xung quanh.
C. Trọng lượng của vật lớn hơn sức đẩy vật lên.
D. Trọng lượng riêng của vật nhỏ hơn lực đẩy vật lên.
Giải đáp: Đáp án cần chọn là A: Một vật lơ lửng trong không khí hoặc không chìm trong nước mô tả cho sự nổi
Bài 14: Trường hợp nào sau đây không có sự bảo toàn cơ năng của vật?
A. Một vật nặng rơi từ trên cao xuống.
B. Chuyển động của Mặt Trăng quanh Trái Đất.
C. Viên bi chuyển động trên mặt phẳng nhẵn.
D. Một con bò đang kéo xe.
Giải đáp: Đáp án cần chọn là D: Một con bò đang kéo xe không có sự bảo toàn cơ năng của vật
Bài 15: Lực là nguyên nhân làm:
A. Thay đổi vận tốc của vật.
B. Vật bị biến dạng.
C. Thay đổi dạng quỹ đạo của vật.
D. Cả A, B và C.
Giải đáp: Đáp án cần chọn là D: Lực là nguyên nhân làm thay đổi vận tốc, thay đổi dạng quỹ đạo hay làm vật bị biến dạng
Bài 16: Chuyển động của quả lắc đồng hồ khi đi từ vị trí cân bằng (có góc hợp bởi phương thẳng đứng một góc α = 0o) ra vị trí biên (có góc hợp với phương thẳng đứng một góc α lớn nhất) là chuyển động có vận tốc:
A. Giảm dần
B. Tăng dần
C. Không đổi
D. Giảm rồi tăng dần
Giải đáp: Đáp án cần chọn là A
Chuyển động của quả lắc đồng hồ khi đi từ vị trí cân bằng ra vị trí biên là chuyển động có vận tốc giảm dần
Bài 17: Một cano đi xuôi dòng nước từ địa điểm A đến B hết 30 phút. Nếu cano đi ngược dòng nước từ B về A hết 45 phút. Nếu cano tắt máy trôi theo dòng nước thì thời gian đi từ A đến B là:
A. 1,5 giờ
B. 2,5 giờ
C. 2 giờ
D. 3 giờ
Giải đáp: Đáp án cần chọn là D: Gọi s là độ dài quãng đường AB
vcn là vận tốc cano khi nước yên lặng
vn là vận tốc dòng nước
t1 = 30 phút = 0,5 giờ
t2 = 45 phút = 0,75 giờ
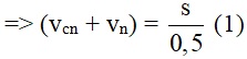
- Khi cano đi xuôi dòng: s = (vcn + vn).0,5

- Khi cano đi ngược dòng: s = (vcn – vn).0,75

- Khi cano tắt máy trôi theo dòng nước: s = vn.t ⇒ t = s/vn (3)
Từ (1), (2) ta có:

Thế vào (3) ta được:

Bài 18: Dấu hiệu nào sau đây là của chuyển động theo quán tính?
A. Vận tốc của vật luôn thay đổi.
B. Độ lớn vận tốc của vật không đổi.
C. Vật chuyển động theo đường cong.
D. Vật tiếp tục đứng yên hoặc tiếp tục chuyển động thẳng đều.
Giải đáp: Đáp án cần chọn là D:
Dấu hiệu của chuyển động theo quán tính là vật tiếp tục đứng yên hoặc tiếp tục chuyển động thẳng đều
Bài 19: Khi treo một vật có khối lượng 500 g vào đầu dưới của một sợi dây không co dãn, đầu trên của sợi dây treo vào một điểm cố định thì dây đứt và quả cầu rơi xuống đất. Đó là do lực căng lớn nhất mà dây chịu được
A. lớn hơn 5000 N
B. lớn hơn 5 N
C. nhỏ hơn 5 N
D. nhỏ hơn 500 N
Giải đáp: Đáp án cần chọn là C
Sợi dây treo bị đứt và quả cầu rơi xuống đất. Đó là lực căng lớn nhất mà dây chịu được nhỏ hơn trọng lượng của vật là P = 10.m = 0,5.10 = 5 N
Bài 20: Khi làm các đường ô tô qua đèo thì người ta phải làm các đường ngoằn ngoèo rất dài để:
A. giảm quãng đường
B. giảm lực kéo của ô tô
C. tăng ma sát
D. tăng lực kéo của ô tô
Giải đáp: Đáp án cần chọn là B: Khi làm các đường ô tô qua đèo thì người ta phải làm các đường ngoằn ngoèo rất dài để tăng chiều dài của mặt phẳng nghiêng và do đó giảm lực kéo của ô tô
C. Tự luận
Bài 1: Một khí áp kế đặt trên điểm cao nhất của trụ ăng ten phát sóng truyền hình chỉ 738 mmHg. Xác định độ cao của trụ ăng ten biết áp suất của không khí ở chân trụ ăng ten là 750 mmHg. Trọng lượng riêng của thủy ngân là 136000 N/m3, của không khí là 13 N/m3.
Giải đáp:
- Gọi p1 và p2 là áp suất ở đỉnh và chân trụ ăng ten.
- Độ chênh lệch áp suất:
p2 – p1 = 750 – 738 = 12 mmHg
- Áp suất ứng với độ cao của cột thủy ngân này là:
p = h.d = 0,012.136000 = 1632 N/m2
- Độ cao của cột không khí tương ứng (từ chân đến đỉnh trụ ăng ten):

Bài 2: Trong một máy ép dùng chất lỏng, mỗi lần pit – tông nhỏ đi xuống một đoạn 0,3 m thì pit – tông lớn được nâng lên một đoạn 0,01 m. Tính lực tác dụng lên vật đặt trên pit – tông lớn nếu tác dụng vào pit – tông nhỏ một lực f = 750 N.
Giải đáp:
- Gọi s, S là diện tích pit – tông nhỏ và pit – tông lớn.
- Xem chất lỏng không chịu nén thì thể tích chất lỏng chuyển từ xilanh nhỏ sang xilanh lớn là V = h.s = H.S

- Áp suất được truyền đi nguyên vẹn nên:

Bài 3: Một vật hình hộp chữ nhật kích thước 40cm x 25cm x 10cm đặt trên mặt bàn nằm ngang. Biết trọng lượng riêng của chất làm vật là 18400 N/m3. Tính áp suất lớn nhất tác dụng lên mặt bàn.
Giải đáp:
- Từ công thức p = F/S ta thấy khi áp lực F không đổi thì áp suất lớn nhất khi diện tích bị ép (S) nhỏ nhất.
- Thể tích vật: V = 40.25.10 = 10000 cm3 = 0,01 m3
- Trọng lượng của vật:
P = d.V = 18400.0,01 = 184 N
- Mặt bàn đặt nằm ngang nên áp lực có độ lớn bằng đúng giá trị của trọng lượng:
F = P = 184 N
- Diện tích mặt tiếp xúc nhỏ nhất:
S = 25.10 = 250 cm2 = 0,025 m2
- Áp suất lớn nhất:

Bài 4: Một vật chuyển động trên đoạn đường AB. Nửa đoạn đường đầu, vật đi với vận tốc v1 = 25 km/h. Nửa đoạn đường sau vật chuyển động theo hai giai đoạn: trong nửa thời gian đầu, vật đi với vận tốc v2 = 18 km/h, nửa thời gian sau vật đi với vận tốc v3 = 12 km/h. Tính vận tốc trung bình của vật trên cả đoạn đường MN.
Giải đáp:
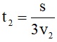
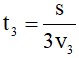
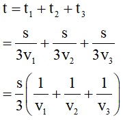
- Gọi s là chiều dài quãng đường AB
t1 và t2 là thời gian đi nửa đầu đoạn đường và nửa đoạn đường còn lại.
- Ta có:
- Thời gian đi với vận tốc v2 và v3 đều là t2/2
- Đoạn đường đi được tương ứng với các thời gian này là:

- Ta có:

- Thời gian đi hết quãng đường:

- Vận tốc trung bình trên cả đoạn đường MN:

Bài 5: Treo một vật nhỏ vào một lực kế và đặt chúng trong không khí thấy lực kế chỉ F = 18N. Vẫn treo vật bằng lực kế nhưng nhúng vật chìm hoàn toàn trong nước thì lực kế chỉ F’ = 13N. Tính thể tích của vật và trọng lượng riêng của nó. Cho khối lượng riêng của nước là D = 1000 kg/m3.
Giải đáp:
- Khi hệ thống đặt trong không khí, số chỉ của lực kế chính là trọng lượng của vật:
P = F = 18 N
⇒ Khối lượng vật m = P/10 = 18/10 = 1,8 kg
- Khi nhúng vật trong nước, số chỉ của lực kế là hiệu của trọng lượng của vật với lực đẩy Ác – si – mét:
F’ = P – FA ⇒ FA = P – F’ = 18 – 13 = 5 N
Ta có lực đẩy Ác – si – mét: FA = d.V = 10D.V
- Suy ra thể tích của vật:

- Trọng lượng riêng của vật:

Bài 6: Một thang máy có khối lượng m = 580 kg, được kéo từ đáy hầm mồ sâu 125m lên mặt đất bằng lực căng của một dây cáp do máy thực hiện.
a) Tính công nhỏ nhất của lực căng để thực hiện việc đó.
b) Biết hiệu suất của máy là 80%. Tính công do máy thực hiện và công hao phí do lực cản.
Giải đáp:
a) Muốn kéo thang máy lên thì lực căng F tối thiểu phải bằng trọng lượng của thang:
F = P = 10.m = 10.580 = 5800 N
Công nhỏ nhất:
A = F.s = 5800.125 = 725000 J = 725 kJ
b) Từ công thức

Công hao phí: A’ = Atp – Aci = 906,25 – 725 = 181,25 kJ
Bài 7: Một máy bơm bơm nước lên cao 5,5 mét. Trong mỗi giây, máy sinh công 7500 J. Tính thể tích nước mà máy bơm chuyển được lên cao khi máy hoạt động liên tục trong 1 giờ.
Giải đáp:
1 lít nước có thể tích 1 dm3 và nặng 1 kg và có trọng lượng 10N.
- Khi bơm 1 dm3 nước lên cao 5,5m, máy phải sinh một công bằng:
A = F.s = P.s = 10.5,5 = 55 J
- Trong 1 giờ = 3600s, công do máy thực hiện:
A’ = 7500.3600 = 27000000 J
- Lượng nước được máy đẩy lên trong 1 giờ:

Bài 8: Một vật có khối lượng 0,5 kg và khối lượng riêng 10,5 g/cm3 được thả vào một chậu nước. Vật bị chìm xuống đáy hay nổi trên mặt nước? Tại sao? Tìm lực đẩy Ác – si – mét tác dụng lên vật. Cho trọng lượng riêng của nước dn = 10000 N/m3.
Giải đáp:
- Trọng lượng của vật P = 10.m = 10.0,5 = 5N
- Thể tích của vật xác định từ công thức:

- Lực đẩy Ác – si – mét lớn nhất (khi vật chìm hoàn toàn trong nước):
FA = d.V = 10000.0,0000476 = 0,476N
- Nhận xét: P > FA ⇒ Vật bị chìm xuống đáy
- Lực đẩy Ác – si – mét tác dụng lên vật lúc đó bằng đúng lực đẩy Ác – si – mét lớn nhất: FA = 0,476N
Bài 9: Một cục nước đá có thể tích V = 360 cm3 nổi trên mặt nước. Tính thể tích của phần nước ló ra khỏi mặt nước biết khối lượng riêng của nước đá là 0,92 g/cm3, trọng lượng riêng của nước là dN = 10000 N/m3.
Giải đáp:
- Khối lượng của cục nước đá:
m = V.D = 360.0,92 = 331,2 g = 0,3312 kg
- Trọng lượng của cục nước đá:
P = 10.m = 10.0,3312 = 3,312N
- Khi cục đá nổi trọng lượng của cục nước đá bằng đúng trọng lượng của nước bị chiếm chỗ tức bằng lực đẩy Ác – si – mét.
- Thể tích phần chìm trong nước:

- Thể tích phần cục đá nhô ra khỏi mặt nước: ΔV = V - V' = 360 - 331,2 = 28,8 cm3
Bài 10: Một người đi xe đạp trên đoạn đường AB. Trên 1/3 đoạn đường đầu đi với vận tốc 12 km/h, 1/3 đoạn đường tiếp theo đi với vận tốc 14 km/h và 1/3 đoạn đường cuối cùng đi với vận tốc 10 km/h. Tính vận tốc trung bình của người đi xe đạp trên cả đoạn đường AB.
Giải đáp:
- Gọi s là chiều dài quãng đường AB.
- Thời gian để đi 1/3 đoạn đường đầu iên:
- Thời gian để đi 1/3 đoạn đường tiếp theo:
- Thời gian để đi 1/3 đoạn đường cuối cùng:
- Thời gian tổng cộng đi cả quãng đường AB:

- Vận tốc trung bình trên cả đoạn đường AB:

Thay số:

Tổng hợp các câu trắc nghiệm Vật lý lớp 8 có đáp án: ôn bài, ôn tập chương, kiểm tra, thi
Suckhoecuocsong.vn/TH
Các tin liên quan
Các tin khác
-
Câu hỏi trắc nghiệm Địa lí lớp 10 bài 2 ôn tập: Một số phương pháp biểu hiện các đối tượng địa lí trên bản đồ
Câu hỏi trắc nghiệm Địa lí lớp 10 bài 2 ôn tập có đáp án: Một số phương pháp biểu hiện các đối tượng địa lí trên bản đồ -
Câu hỏi trắc nghiệm Địa lí lớp 10 bài 2 có đáp án: Một số phương pháp biểu hiện các đối tượng địa lí trên bản đồ (Phần 2)
Câu hỏi trắc nghiệm Địa lí lớp 10 bài 2 có đáp án chính xác: Một số phương pháp biểu hiện các đối tượng địa lí trên bản đồ (Phần 2) -
Câu hỏi trắc nghiệm Địa lí lớp 10 bài 2 có đáp án: Một số phương pháp biểu diễn các đối tượng địa lí trên bản đồ (Phần 1)
Câu hỏi trắc nghiệm Địa lí lớp 10 bài 2 có đáp án chính xác: Một số phương pháp biểu diễn các đối tượng địa lí trên bản đồ (Phần 1) -
Câu hỏi trắc nghiệm Địa lí lớp 10 bài 1 có đáp án: Các phép chiếu hình bản đồ (Phần 2)
Câu hỏi trắc nghiệm Địa lí lớp 10 bài 1 có đáp án chính xác: Các phép chiếu hình bản đồ (Phần 2) -
Câu hỏi trắc nghiệm Địa lí lớp 10 bài 1 có đáp án: Các phép chiếu hình bản đồ (Phần 1)
Câu hỏi trắc nghiệm Địa lí lớp 10 bài 1 có đáp án chính xác: Các phép chiếu hình bản đồ (Phần 1) -
Câu trắc nghiệm Địa lý lớp 10 theo bài, ôn tập có đáp án
Câu trắc nghiệm Địa lý lớp 10 theo bài, ôn tập có đáp án chính xác -
Câu hỏi trắc nghiệm Sinh học lớp 10 bài 3 ôn tập: Các nguyên tố hóa học và nước
Câu hỏi trắc nghiệm Sinh học lớp 10 bài 3 ôn tập có đáp án: Các nguyên tố hóa học và nước -
Câu hỏi trắc nghiệm Sinh học lớp 10 Bài 3 có đáp án: Các nguyên tố hóa học và nước
Câu hỏi trắc nghiệm Sinh học lớp 10 Bài 3 có đáp án chính xác: Các nguyên tố hóa học và nước -
Câu hỏi trắc nghiệm Sinh học lớp 10 bài 2 ôn tập: Các giới sinh vật
Câu hỏi trắc nghiệm Sinh học lớp 10 bài 2 ôn tập có đáp án: Các giới sinh vật -
Câu hỏi trắc nghiệm Sinh học lớp 10 bài 2 có đáp án: Các giới sinh vật
Câu hỏi trắc nghiệm Sinh học lớp 10 bài 2 có đáp án: Các giới sinh vật
