Câu trắc nghiệm Vật lý lớp 8 Bài 8 có đáp án: Áp suất chất lỏng - Bình thông nhau
Câu trắc nghiệm Vật lý lớp 8 Bài 8 có đáp án: Áp suất chất lỏng - Bình thông nhau
Bài 1: Điều nào sau đây đúng khi nói về áp suất chất lỏng?
A. Chất lỏng gây áp suất theo mọi phương.
B. Áp suất tác dụng lên thành bình không phụ thuộc diện tích bị ép.
C. Áp suất gây ra do trọng lượng của chất lỏng tác dụng lên một điểm tỉ lệ nghịch với độ sâu.
D. Nếu cùng độ sâu thì áp suất như nhau trong mọi chất lỏng khác nhau.
Giài đáp: Đáp án cần chọn là A:Chất lỏng gây áp suất theo mọi phương lên đáy bình, thành bình và các vật ở trong lòng nó
Bài 2: Công thức tính áp suất chất lỏng là:
A. p = d/h
B. p = d.h
C. p = d.V
D. p = h/d
Giải đáp: Đáp án cần chọn là B:Công thức tính áp suất chất lỏng là p = d.h
Bài 3: Áp suất mà chất lỏng tác dụng lên một điểm phụ thuộc:
A. Khối lượng lớp chất lỏng phía trên.
B. Trọng lượng lớp chất lỏng phía trên.
C. Thể tích lớp chất lỏng phía trên.
D. Độ cao lớp chất lỏng phía trên.
Giải đáp: Đáp án cần chọn là D: Áp suất mà chất lỏng tác dụng lên một điểm phụ thuộc độ cao lớp chất lỏng phía trên
Bài 4: Trong các kết luận sau, kết luận nào không đúng về bình thông nhau?
A. Bình thông nhau là bình có 2 hoặc nhiều nhánh thông nhau.
B. Tiết diện của các nhánh bình thông nhau phải bằng nhau.
C. Trong bình thông nhau có thể chứa 1 hoặc nhiều chất lỏng khác nhau.
D. Trong bình thông nhau chứa cùng 1 chất lỏng đứng yên, các mực chất lỏng ở các nhánh luôn ở cùng một độ cao.
Giải đáp: Đáp án cần chọn là B: Tiết diện của nhánh bình thông nhau không nhất thiết phải bằng nhau
Bài 5: Một cục nước đá đang nổi trong bình nước. Mực nước trong bình thay đổi như thế nào khi cục nước đá tan hết?
A. Tăng
B. Giảm
C. Không đổi
D. Không xác định được
Giải đáp: Đáp án cần chọn là C:Mực nước trong bình không đổi khi cục nước đá tan hết
Bài 6: Một tàu ngầm đang di chuyển dưới biển. Áp kế đặt ở ngoài vỏ tàu chỉ áp suất 2020000 N/m2. Một lúc sau áp kế chỉ 860000N/m2. Tính độ sâu của tàu ngầm ở hai thời điểm trên biết trọng lượng riêng của nước biển bằng 10300N/m2.
A. 196m; 83,5m
B. 160m; 83,5m
C. 169m; 85m
D. 85m; 169m
Giải đáp: Đáp án cần chọn là A: Áp dụng công thức: p = d.h ⇒ h = p/d
Độ sâu của tàu ngầm ở thời điểm trước khi nổi lên: 
Độ sâu của tàu ngầm ở thời điểm sau khi nổi lên: 
⇒
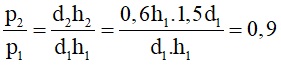
Bài 7: Hai bình có tiết diện bằng nhau. Bình thứ nhất chứa chất lỏng có trọng lượng riêng d1, chiều cao h1, bình thứ hai chứa chất lỏng có trọng lượng riêng d2 = 1,5.d1, chiều cao h2 = 0,6.h1. Nếu gọi áp suất chất lỏng tác dụng lên đáy bình 1 là p1, đáy bình 2 là p2 thì
A. p2 = 3p1
B. p2 = 0,9p1
C. p2 = 9p1
D. p2 = 0,4p1
Giải đáp: Đáp án cần chọn là B
Vì p1 = d1.h1; p2 = d2.h2
Ta có tỉ số: 
⇒ p2 = 0,9p1
Bài 8: Trong bình thông nhau gồm hai nhánh, nhánh lớn có tiết diện gấp đôi nhánh nhỏ. Khi chưa mở khóa T, chiều cao của cột nước ở nhánh lớn là 30 cm. Tìm chiều cao cột nước ở hai nhánh sau khi đã mở khóa T và khi nước đã đứng yên. Bỏ qua thể tích của ống nối hai nhánh.
A. 10 cm
B. 20 cm
C. 30 cm
D. 40 cm
Giải đáp: Đáp án cần chọn là B:
- Gọi diện tích tiết diện của ống nhỏ là s, ống lớn là 2s.
- Sau khi mở khóa T cột nước ở hai nhánh có cùng chiều cao h.
- Do thể tích nước trong bình thông nhau là không đổi nên ta có:
2s.30 = s.h + 2s.h
⇒ h = 20 cm
Bài 9: Một chiếc tàu bị thủng lỗ ở độ sâu 2,8m. Người ta đặt một miếng vá áp vào lỗ thủng từ phía trong. Hỏi cần một lực tối thiểu bằng bao nhiêu để giữ miếng vá nếu lỗ thủng rộng 150 cm2 và trọng lượng riêng của nước là 10000 N/m3.
Giải đáp:
- Áp suất do nước gây ra tại chỗ thủng là:
p = d.h = 10000.2,8 = 28000 N/m2
- Lực tối thiểu để giữ miếng vá là:
F = p.s = 28000.0,015 = 420 N
Bài 10: Một bình thông nhau chứa nước biển. Người ta đổ thêm xăng vào một nhánh. Hai mặt thoáng ở hai nhánh chênh lệch nhau 18 mm. Tính độ cao của cột xăng. Cho biết trọng lượng riêng của nước biển là 10300 N/m3 và của xăng là 7000 N/m3.
Giải đáp:

h = 18 mm, d1 = 7000 N/m3, d2 = 10300 N/m3
- Xét hai điểm A, B trong hai nhánh nằm trong cùng một mặt phẳng ngang trùng với mặt phân cách giữa xăng và nước biển.
- Ta có: pA = pB
- Mà pA = d1.h1; pB = d2.h2
⇒ d1.h1 = d2.h2
h2 = h1 – h ⇒ d1.h1 = d2.(h1 – h)
⇒ (d2 – d1).h1 = d2.h

Tổng hợp các câu trắc nghiệm Vật lý lớp 8 có đáp án: ôn bài, ôn tập chương, kiểm tra, thi
Suckhoecuocsong.vn/TH
Các tin liên quan
- Câu trắc nghiệm Vật lý 8 Bài 23 có đáp án: Đối lưu - Bức xạ nhiệt
- Câu trắc nghiệm Vật lý 8 tổng kết chương 1 có đáp án: Cơ học
- Trắc nghiệm Vật lý 8 Bài 5 có đáp án: Sự cân bằng lực, Quán tính (Tiếp)
- Trắc nghiệm Vật lý 8 Bài 2 có đáp án: Vận tốc (Tiếp)
- Trắc nghiệm vật lý 8 Bài 1 có đáp án: Chuyển động cơ học (Tiếp)
Các tin khác
-
Câu hỏi trắc nghiệm Địa lí lớp 10 bài 2 ôn tập: Một số phương pháp biểu hiện các đối tượng địa lí trên bản đồ
Câu hỏi trắc nghiệm Địa lí lớp 10 bài 2 ôn tập có đáp án: Một số phương pháp biểu hiện các đối tượng địa lí trên bản đồ -
Câu hỏi trắc nghiệm Địa lí lớp 10 bài 2 có đáp án: Một số phương pháp biểu hiện các đối tượng địa lí trên bản đồ (Phần 2)
Câu hỏi trắc nghiệm Địa lí lớp 10 bài 2 có đáp án chính xác: Một số phương pháp biểu hiện các đối tượng địa lí trên bản đồ (Phần 2) -
Câu hỏi trắc nghiệm Địa lí lớp 10 bài 2 có đáp án: Một số phương pháp biểu diễn các đối tượng địa lí trên bản đồ (Phần 1)
Câu hỏi trắc nghiệm Địa lí lớp 10 bài 2 có đáp án chính xác: Một số phương pháp biểu diễn các đối tượng địa lí trên bản đồ (Phần 1) -
Câu hỏi trắc nghiệm Địa lí lớp 10 bài 1 có đáp án: Các phép chiếu hình bản đồ (Phần 2)
Câu hỏi trắc nghiệm Địa lí lớp 10 bài 1 có đáp án chính xác: Các phép chiếu hình bản đồ (Phần 2) -
Câu hỏi trắc nghiệm Địa lí lớp 10 bài 1 có đáp án: Các phép chiếu hình bản đồ (Phần 1)
Câu hỏi trắc nghiệm Địa lí lớp 10 bài 1 có đáp án chính xác: Các phép chiếu hình bản đồ (Phần 1) -
Câu trắc nghiệm Địa lý lớp 10 theo bài, ôn tập có đáp án
Câu trắc nghiệm Địa lý lớp 10 theo bài, ôn tập có đáp án chính xác -
Câu hỏi trắc nghiệm Sinh học lớp 10 bài 3 ôn tập: Các nguyên tố hóa học và nước
Câu hỏi trắc nghiệm Sinh học lớp 10 bài 3 ôn tập có đáp án: Các nguyên tố hóa học và nước -
Câu hỏi trắc nghiệm Sinh học lớp 10 Bài 3 có đáp án: Các nguyên tố hóa học và nước
Câu hỏi trắc nghiệm Sinh học lớp 10 Bài 3 có đáp án chính xác: Các nguyên tố hóa học và nước -
Câu hỏi trắc nghiệm Sinh học lớp 10 bài 2 ôn tập: Các giới sinh vật
Câu hỏi trắc nghiệm Sinh học lớp 10 bài 2 ôn tập có đáp án: Các giới sinh vật -
Câu hỏi trắc nghiệm Sinh học lớp 10 bài 2 có đáp án: Các giới sinh vật
Câu hỏi trắc nghiệm Sinh học lớp 10 bài 2 có đáp án: Các giới sinh vật
