Câu trắc nghiệm Vật lý lớp 8 Bài 3 có đáp án: Chuyển động đều, chuyển động không đều
Câu trắc nghiệm Vật lý lớp 8 Bài 3 có đáp án: Chuyển động đều, chuyển động không đều
Bài 1: Khi nói đến vận tốc của các phương tiện giao thông như xe máy, ô tô, xe lửa, máy bay… người ta nói đến
A. Vận tốc tức thời.
B. Vận tốc trung bình.
C. Vận tốc nhỏ nhất có thể đạt được của phương tiện đó.
D. Vận tốc lớn nhất có thể đạt được của phương tiện đó.
Giải đáp: Khi nói đến vận tốc của các phương tiện giao thông như xe máy, ô tô, xe lửa, máy bay … người ta nói đến vận tốc trung bình⇒ Đáp án B
Bài 2: Chuyển động đều là chuyển động có độ lớn vận tốc
A. Không đổi trong suốt thời gian vật chuyển động.
B. Không đổi trong suốt quãng đường đi.
C. Luôn giữ không đổi, còn hướng của vận tốc có thể thay đổi.
D. Các câu A, B, C đều đúng.
Giải đáp:Chuyển động đều là chuyển động mà vận tốc có độ lớn không đổi⇒ Đáp án D
Bài 3: Chuyển động nào sau đây là chuyển động đều?
A. Máy bay bay từ Hà Nội vào Hồ Chí Minh.
V. Vận động viên trượt tuyết từ dốc núi xuống.
C. Vận động viên chạy 100m đang về đích.
D. Không có chuyển động nào kể trên là chuyển động đều.
Giải đáp: Không có chuyển động nào kể trên là chuyển động đều⇒ Đáp án D
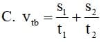
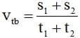
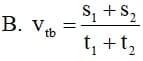
Bài 4: Một người đi quãng đường s1 với vận tốc v1 hết t1 giây, đi quãng đường tiếp theo s2 với vận tốc v2 hết t2 giây. Dùng công thức nào để tính vận tốc trung bình của người này trên cả hai quãng đường s1 và s2?
A.
B.
C
D. Cả B và C đều đúng
Giải đáp
Vận tốc trung bình của người này trên cả hai quãng đường s1 và s2 là: 
⇒ Đáp án B
Bài 5: Chuyển động nào sau đây là chuyển động không đều?
A. Cánh quạt quay ổn định.
B. Chiếc bè trôi theo dòng nước với vận tốc 5 km/h.
C. Tàu ngầm đang lặn sâu xuống nước.
D. Chuyển động của vệ tinh địa tĩnh quanh Trái Đất.
Giải đáp: Chuyển động của tàu ngầm đang lặn sâu xuống nước là chuyển động không đều⇒ Đáp án C
Bài 6: Một ô tô lên dốc với vận tốc 16 km/h, khi xuống lại dốc đó, ô tô này chuyển động nhanh gấp đôi khi lên dốc. Vận tốc trung bình của ô tô trong cả hai đoạn đường lên dốc và xuống dốc là:
A. 24 km/h B. 32 km/h
C. 21,33 km/h D. 26 km/h
Giải đáp: Đáp án C
Gọi s là độ dài quãng đường dốc

Vận tốc trung bình của ô tô trong cả hai đoạn đường là:

⇒ Đáp án C
Bài 7: Một máy bay chở hành khách bay giữa hai thành phố A và B. Khi xuôi gió thời gian bay là 1h30’, còn khi ngược gió thời gian bay là 1h45’. Biết vận tốc gió luôn không đổi là 10 m/s. Vận tốc của máy bay lúc không có gió là:
A. 468 km/h
B. 648 km/h
C. 684 km/h
D. Các phương án trên đều sai
Giải đáp: Đáp án A
- Gọi v là vận tốc của máy bay, vg là vận tốc của gió.
t1, t2 lần lượt là thời gian lúc xuôi gió và ngược gió.
t1 = 1h30’ = 5400 s
t2 = 1h45’ = 6300 s
- Do quãng đường của máy bay bay đi lúc xuôi gió và ngược gió là bằng nhau
⇒ t1(v + vg) = t2(v – vg)
⇒ 5400(v – 10) = 6300(v + 10)
⇒ 900v = 63000 + 54000 = 117000 ⇒ v = 130 m/s = 468 km/h
⇒ Đáp án A
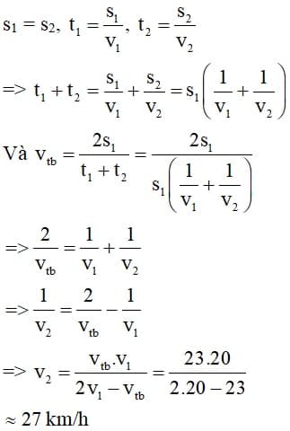
Bài 8: Một người đua xe đạp, trong nửa quãng đường đầu người đó đi với vận tốc 20 km/h. Tính vận tốc của người đó đi trong nửa đoạn đường còn lại. Biết rằng vận tốc trung bình trong cả đoạn đường là 23 km/h.
Giải đáp:
- Gọi s1, s2, s3, t1, t2, v1, v2 lần lượt là quãng đường, thời gian và vận tốc của người đó trong nửa quãng đường đầu và nửa quãng đường sau.
- Ta có:

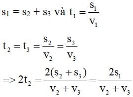
Bài 9: Người đi xe máy trên đoạn đường AB. Nửa đoạn đường đầu người ấy đi với vận tốc 30 km/h. Trong nửa thời gian còn lại đi với vận tốc 25 km/h. Cuối cùng người ấy đi với vận tốc 15 km/h. Tính vận tốc trung bình trên cả đoạn đường AB.
Giải đáp:
- Gọi s1, s2, t1, t2, t3, v1, v2, v3 lần lượt là quãng đường, thời gian và vận tốc trên mỗi đoạn đường.
- Ta có:

- Vận tốc trung bình:

Bài 10: Một chiếc thuyền máy chuyển động đều trên dòng sông. Vận tốc của thuyền khi xuôi dòng là 20 km/h và khi ngược dòng là 15 km/h.
a) Nếu thuyền không nổ máy thì quãng đường mà thuyền trôi theo dòng nước trong thời gian 30 phút là bao nhiêu?
b) Giả sử mặt nước đứng yên, thuyền có nổ máy thì vận tốc của thuyền lúc đó là bao nhiêu?
Giải đáp:
- Gọi vx, vng, vt và vn là vận tốc của thuyền khi xuôi dòng, khi ngược dòng, khi dòng nước không chảy và của dòng nước.
- Vận tốc của dòng nước chảy là:

Vậy quãng đường thuyền trôi được trong 30 phút = 0,5 giờ là:
s = vtrôi.t = vn.t = 2,5.0,5 = 1,25 km
Vận tốc thực của thuyền là:
vx = vt + vn ⇒ vt = vx – vn = 20 – 2,5 = 17,5 km/h
Tổng hợp các câu trắc nghiệm Vật lý lớp 8 có đáp án: ôn bài, ôn tập chương, kiểm tra, thi
Suckhoecuocsong.vn/TH
Các tin liên quan
- Câu trắc nghiệm Vật lý 8 Bài 23 có đáp án: Đối lưu - Bức xạ nhiệt
- Câu trắc nghiệm Vật lý 8 tổng kết chương 1 có đáp án: Cơ học
- Trắc nghiệm Vật lý 8 Bài 5 có đáp án: Sự cân bằng lực, Quán tính (Tiếp)
- Trắc nghiệm Vật lý 8 Bài 2 có đáp án: Vận tốc (Tiếp)
- Trắc nghiệm vật lý 8 Bài 1 có đáp án: Chuyển động cơ học (Tiếp)
Các tin khác
-
Câu hỏi trắc nghiệm Địa lí lớp 10 bài 2 ôn tập: Một số phương pháp biểu hiện các đối tượng địa lí trên bản đồ
Câu hỏi trắc nghiệm Địa lí lớp 10 bài 2 ôn tập có đáp án: Một số phương pháp biểu hiện các đối tượng địa lí trên bản đồ -
Câu hỏi trắc nghiệm Địa lí lớp 10 bài 2 có đáp án: Một số phương pháp biểu hiện các đối tượng địa lí trên bản đồ (Phần 2)
Câu hỏi trắc nghiệm Địa lí lớp 10 bài 2 có đáp án chính xác: Một số phương pháp biểu hiện các đối tượng địa lí trên bản đồ (Phần 2) -
Câu hỏi trắc nghiệm Địa lí lớp 10 bài 2 có đáp án: Một số phương pháp biểu diễn các đối tượng địa lí trên bản đồ (Phần 1)
Câu hỏi trắc nghiệm Địa lí lớp 10 bài 2 có đáp án chính xác: Một số phương pháp biểu diễn các đối tượng địa lí trên bản đồ (Phần 1) -
Câu hỏi trắc nghiệm Địa lí lớp 10 bài 1 có đáp án: Các phép chiếu hình bản đồ (Phần 2)
Câu hỏi trắc nghiệm Địa lí lớp 10 bài 1 có đáp án chính xác: Các phép chiếu hình bản đồ (Phần 2) -
Câu hỏi trắc nghiệm Địa lí lớp 10 bài 1 có đáp án: Các phép chiếu hình bản đồ (Phần 1)
Câu hỏi trắc nghiệm Địa lí lớp 10 bài 1 có đáp án chính xác: Các phép chiếu hình bản đồ (Phần 1) -
Câu trắc nghiệm Địa lý lớp 10 theo bài, ôn tập có đáp án
Câu trắc nghiệm Địa lý lớp 10 theo bài, ôn tập có đáp án chính xác -
Câu hỏi trắc nghiệm Sinh học lớp 10 bài 3 ôn tập: Các nguyên tố hóa học và nước
Câu hỏi trắc nghiệm Sinh học lớp 10 bài 3 ôn tập có đáp án: Các nguyên tố hóa học và nước -
Câu hỏi trắc nghiệm Sinh học lớp 10 Bài 3 có đáp án: Các nguyên tố hóa học và nước
Câu hỏi trắc nghiệm Sinh học lớp 10 Bài 3 có đáp án chính xác: Các nguyên tố hóa học và nước -
Câu hỏi trắc nghiệm Sinh học lớp 10 bài 2 ôn tập: Các giới sinh vật
Câu hỏi trắc nghiệm Sinh học lớp 10 bài 2 ôn tập có đáp án: Các giới sinh vật -
Câu hỏi trắc nghiệm Sinh học lớp 10 bài 2 có đáp án: Các giới sinh vật
Câu hỏi trắc nghiệm Sinh học lớp 10 bài 2 có đáp án: Các giới sinh vật
