Câu trắc nghiệm Vật lý lớp 8 Bài 28 có đáp án: Động cơ nhiệt
Câu trắc nghiệm Vật lý lớp 8 Bài 28 có đáp án: Động cơ nhiệt
Bài 1: Động cơ nhiệt là:
A. Động cơ trong đó một phần năng lượng của nhiên liệu bị đốt cháy chuyển hóa thành nhiệt năng.
B. Động cơ trong đó toàn bộ phần năng lượng của nhiên liệu bị đốt cháy chuyển hóa thành cơ năng.
C. Động cơ trong đó một phần năng lượng của nhiên liệu bị đốt cháy chuyển hóa thành cơ năng.
D. Động cơ trong đó toàn bộ phần năng lượng của nhiên liệu bị đốt cháy chuyển hóa thành nhiệt năng.
Giải đáp: Đáp án cần chọn là C
Động cơ nhiệt là động cơ trong đó một phần năng lượng của nhiên liệu bị đốt cháy chuyển hóa thành cơ năng
Bài 2: Động cơ nào sau đây không phải là động cơ nhiệt?
A. Động cơ xe máy.
B. Động cơ của máy bay phản lực.
C. Động cơ chạy máy phát điện của nhà máy thủy điện.
D. Động cơ chạy máy phát điện của nhà máy nhiệt điện.
Giải đáp: Đáp án cần chọn là C
Động cơ nhiệt là động cơ trong đó một phần năng lượng của nhiên liệu bị đốt cháy chuyển hóa thành cơ năng => Động cơ chạy máy phát điện của nhà máy thủy điện không phải là động cơ nhiệt
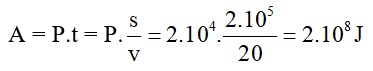
Bài 3: Một ô tô chạy 100 km với lực kéo không đổi là 700 N thì tiêu thụ hết 6 lít xăng. Hiệu suất của động cơ ô tô đó là bao nhiêu? Biết năng suất tỏa nhiệt của xăng là 4,6.107 J/kg, khối lượng riêng của xăng là 700 kg/m3.
A. 86%
B. 40%
C. 52%
D. 36,23%
Giải đáp: Đáp án cần chọn là D
6 lít = 6 dm3 = 6.10-3 m3
- Công có ích mà ô tô thực hiện:
A = F.s = 700.100.103 = 7.107 J
- Nhiệt lượng do 6 lít xăng tỏa ra:
Qtỏa = m.q = D.V.q = 700.6.10-3.4,6.107 = 19,32.107 J
- Hiệu suất của động cơ ô tô đó:

Bài 4: Các kì của động cơ nổ 4 kì diễn ra theo thứ tự:
A. Hút nhiên liệu, đốt nhiên liệu, nén nhiên liệu, thoát khí.
B. Thoát khí, hút nhiên liệu, nén nhiên liệu, đốt nhiên liệu.
C. Hút nhiên liệu, nén nhiên liệu, thoát khí, đốt nhiên liệu.
D. Hút nhiên liệu, nén nhiên liệu, đốt nhiên liệu, thoát khí.
Giải đáp: Đáp án cần chọn là D
Các kì của động cơ nổ 4 kì diễn ra theo thứ tự: Hút nhiên liệu, nén nhiên liệu, đốt nhiên liệu, thoát khí
Bài 5: Biểu thức nào sau đây xác định hiệu suất của động cơ nhiệt?

Giải đáp: Đáp án cần chọn là C
Biểu thức xác định hiệu suất của động cơ nhiệt: H = A/Q ⇒
Bài 6: Câu nào sau đây nói về hiệu suất của động cơ nhiệt?
A. Hiệu suất cho biết động cơ mạnh hay yếu.
B. Hiệu suất cho biết động cơ thực hiện công nhanh hay chậm.
C. Hiệu suất cho biết nhiệt lượng tỏa ra khi 1 kg nhiên liệu bị đốt cháy hoàn toàn trong động cơ.
D. Hiệu suất cho biết động cơ có bao nhiêu phần trăm nhiệt lượng do nhiên liệu bị đốt cháy tỏa ra được biến thành công có ích.
Giải đáp: Đáp án D
Hiệu suất cho biết động cơ có bao nhiêu phần trăm nhiệt lượng do nhiên liệu bị đốt cháy tỏa ra được biến thành công có ích
Bài 7: Một máy bơm nước sau khi tiêu thụ hết 8 kg dầu thì đưa được 900 m3 nước lên cao 10 m. Hiệu suất của máy bơm đó là bao nhiêu? Biết năng suất tỏa nhiệt của dầu dùng cho máy bơm là 4,6.107 J/kg, khối lượng riêng của nước là 1000 kg/m3.
A. 24,46%
B. 15,22%
C. 1,52%
D. 2,45%
Giải đáp: Đáp án cần chọn là A
Khối lượng nước được đưa lên là:
m = D.V = 1000.900 = 9.105 kg
Trọng lượng của nước:
P = 10.m = 10.9.105 = 9.106 N
Công có ích: A = P.h = 9.106.10 = 9.107 J
Nhiệt lượng do 8 kg dầu tỏa ra là:
Qtỏa = m.q = 8.4,6.107 = 36,8.107 J
Hiệu suất của động cơ máy bơm là:

Bài 8: Với 2 lít xăng, một xe máy có công suất 3,2 kW chuyển động với vận tốc 45 km/h sẽ đi được bao nhiêu km? Biết hiệu suất của động cơ là 25%, năng suất tỏa nhiệt của xăng là 4,6.107 J/kg, khối lượng riêng của xăng là 700 kg/m3.
A. 100,62 km
B. 63 km
C. 54 km
D. 45 km
Giải đáp: Đáp án cần chọn là B
Nhiệt lượng do 2 lít xăng tỏa ra là:
Qtỏa = m.q = D.V.q = 700.2.10-3.4,6.107 = 6,44.107 J
Ta có: H = A/Q
⇒ Công có ích của động cơ: A = H.Q = 0,25.6,44.107 = 1,61.107 J
Ta có: P = A/t
⇒ Thời gian xe máy đã đi là:

Quãng đường xe máy đi được: s = v.t = 45.1,4 = 63 km
Tự luận
Bài 9: Động cơ của một máy bay có công suất 2.106 W và hiệu suất 32%. Vậy với một tấn xăng, máy bay có thể bay được bao nhiêu lâu? Biết năng suất tỏa nhiệt của xăng là 4,6.107 J/kg.
Giải đáp:
Ta có: Q = q.m = 4,6.107.1000 = 46.109 J
A = Q.H = 46.109.0,32 = 1472.107 J
Thời gian máy bay được là:

Bài 10: Tính hiệu suất của động cơ ô tô biết rằng khi ô tô chuyển động với vận tốc 72 km/h thì động cơ có công suất 20 kW và tiêu thụ 20 lít xăng để chạy 200 km. Năng suất tỏa nhiệt của xăng là 4,6.107 J/kg.
Giải đáp: Ta có:
2 km/h = 20 m/s
s = 200 km = 2.105 m
P = 20 kW = 2.104 W
V = 20 lít = 0,02 m3
Áp dụng công thức:
Q = m.q = D.V.q = 0,7.103.0,02.4,6.107 = 644.106 J

Hiệu suất của động cơ ô tô là:

Vậy H = 31%.
Tổng hợp các câu trắc nghiệm Vật lý lớp 8 có đáp án: ôn bài, ôn tập chương, kiểm tra, thi
Suckhoecuocsong.vn/TH
Các tin liên quan
- Câu trắc nghiệm Vật lý 8 Bài 23 có đáp án: Đối lưu - Bức xạ nhiệt
- Câu trắc nghiệm Vật lý 8 tổng kết chương 1 có đáp án: Cơ học
- Trắc nghiệm Vật lý 8 Bài 5 có đáp án: Sự cân bằng lực, Quán tính (Tiếp)
- Trắc nghiệm Vật lý 8 Bài 2 có đáp án: Vận tốc (Tiếp)
- Trắc nghiệm vật lý 8 Bài 1 có đáp án: Chuyển động cơ học (Tiếp)
Các tin khác
-
Câu hỏi trắc nghiệm Địa lí lớp 10 bài 2 ôn tập: Một số phương pháp biểu hiện các đối tượng địa lí trên bản đồ
Câu hỏi trắc nghiệm Địa lí lớp 10 bài 2 ôn tập có đáp án: Một số phương pháp biểu hiện các đối tượng địa lí trên bản đồ -
Câu hỏi trắc nghiệm Địa lí lớp 10 bài 2 có đáp án: Một số phương pháp biểu hiện các đối tượng địa lí trên bản đồ (Phần 2)
Câu hỏi trắc nghiệm Địa lí lớp 10 bài 2 có đáp án chính xác: Một số phương pháp biểu hiện các đối tượng địa lí trên bản đồ (Phần 2) -
Câu hỏi trắc nghiệm Địa lí lớp 10 bài 2 có đáp án: Một số phương pháp biểu diễn các đối tượng địa lí trên bản đồ (Phần 1)
Câu hỏi trắc nghiệm Địa lí lớp 10 bài 2 có đáp án chính xác: Một số phương pháp biểu diễn các đối tượng địa lí trên bản đồ (Phần 1) -
Câu hỏi trắc nghiệm Địa lí lớp 10 bài 1 có đáp án: Các phép chiếu hình bản đồ (Phần 2)
Câu hỏi trắc nghiệm Địa lí lớp 10 bài 1 có đáp án chính xác: Các phép chiếu hình bản đồ (Phần 2) -
Câu hỏi trắc nghiệm Địa lí lớp 10 bài 1 có đáp án: Các phép chiếu hình bản đồ (Phần 1)
Câu hỏi trắc nghiệm Địa lí lớp 10 bài 1 có đáp án chính xác: Các phép chiếu hình bản đồ (Phần 1) -
Câu trắc nghiệm Địa lý lớp 10 theo bài, ôn tập có đáp án
Câu trắc nghiệm Địa lý lớp 10 theo bài, ôn tập có đáp án chính xác -
Câu hỏi trắc nghiệm Sinh học lớp 10 bài 3 ôn tập: Các nguyên tố hóa học và nước
Câu hỏi trắc nghiệm Sinh học lớp 10 bài 3 ôn tập có đáp án: Các nguyên tố hóa học và nước -
Câu hỏi trắc nghiệm Sinh học lớp 10 Bài 3 có đáp án: Các nguyên tố hóa học và nước
Câu hỏi trắc nghiệm Sinh học lớp 10 Bài 3 có đáp án chính xác: Các nguyên tố hóa học và nước -
Câu hỏi trắc nghiệm Sinh học lớp 10 bài 2 ôn tập: Các giới sinh vật
Câu hỏi trắc nghiệm Sinh học lớp 10 bài 2 ôn tập có đáp án: Các giới sinh vật -
Câu hỏi trắc nghiệm Sinh học lớp 10 bài 2 có đáp án: Các giới sinh vật
Câu hỏi trắc nghiệm Sinh học lớp 10 bài 2 có đáp án: Các giới sinh vật
