Câu trắc nghiệm Vật lý lớp 8 Bài 2 có đáp án: Vận tốc
Câu trắc nghiệm Vật lý lớp 8 Bài 2 có đáp án: Vận tốc
Bài 1: Dụng cụ để xác định sự nhanh chậm của chuyển động của một vật gọi là:
A. Nhiệt kế
B. Vôn kế
C. Tốc kế
D. Ampe kế
Giải thích:Tốc kế là dụng cụ để xác định tốc độ tức là sự nhanh chậm của chuyển động của một vật
⇒ Đáp án C
Bài 2: Độ lớn của vận tốc có thể cung cấp cho ta thông tin gì về chuyển động của vật?
A. Cho biết vật chuyển động theo quỹ đạo nào.
B. Cho biết hướng chuyển động của vật.
C. Cho biết vật chuyển động nhanh hay chậm.
D. Cho biết nguyên nhân vì sao vật lại chuyển động được.
Giải thích: Độ lớn của vận tốc cho ta biết vật chuyển động nhanh hay chậm
⇒ Đáp án C
Bài 3: Chuyển động của phân tử hiđro ở 0oC có vận tốc 1692 m/s, của vệ tinh nhân tạo của Trái Đất có vận tốc 28800 km/h. Hỏi chuyển động nào nhanh hơn?
A. Chuyển động của phân tử hiđro nhanh hơn.
B. Chuyển động của vệ tinh nhân tạo của Trái Đất nhanh hơn.
C. Hai chuyển động bằng nhau.
D. Tất cả đều sai.
VH = 1692 m/s

⇒ VH < VD
⇒ Chuyển động của vệ tinh nhân tạo nhanh hơn
⇒ Đáp án B
Bài 4: Đơn vị của vận tốc phụ thuộc vào
A. Đơn vị chiều dài
B. Đơn vị thời gian
C. Đơn vị chiều dài và đơn vị thời gian.
D. Các yếu tố khác.
Đơn vị của vận tốc phụ thuộc vào đơn vị chiều dài và đơn vị thời gian
⇒ Đáp án C
Bài 5: Trái Đất quay quanh Mặt Trời một vòng trong thời gian một năm (trung bình là 365 ngày). Biết vận tốc quay của Trái Đất bằng 108000 km/h. Lấy π ≈ 3,14 thì giá trị trung bình bán kính quỹ đạo của Trái Đất quanh Mặt Trời là:
A. 145 000 000 km
B. 150 000 000 km
C. 150 649 682 km
D. 149 300 000 km
Trong một năm Trái Đất quay: s = v.t = 365.24.108000 = 946080000 km
Bán kính Trái Đất: 
⇒ Đáp án C
Bài 6: Trong đêm tối từ lúc thấy tia chớp lóe sáng đến khi nghe thấy tiếng bom nổ khoảng 15 giây. Hỏi chỗ bom nổ cách người quan sát bao xa? Biết vận tốc truyền âm trong không khí bằng 340 m/s.
A. 5100 m
B. 5000 m
C. 5200 m
D. 5300 m
Giải thích: Bom nổ cách người quan sát: s = v.t = 340.15 = 5100 m
⇒ Đáp án A
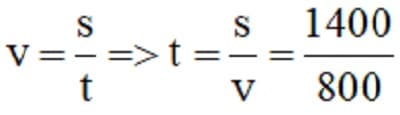
Bài 7: Một máy bay bay với vận tốc 800 km/h từ Hà Nội đến Thành phố Hồ Chí Minh. Nếu đường bay Hà Nội – Hồ Chí Minh dài 1400 km thì máy bay phải bay trong bao nhiêu lâu?
A. 1 giờ 20 phút
B. 1 giờ 30 phút
C. 1 giờ 45 phút
D. 2 giờ
Giải thích:

= 1,75 giờ = 1 giờ 45 phút
⇒ Đáp án C
Bài 8: Một người đi xe máy xuất phát tại A lúc 7 giờ 20 phút và đến B lúc 8 giờ 5 phút. Tính vận tốc của người đó theo km/h và m/s. Biết quãng đường từ A đến B là 24,3 km.
Thời gian người đó đi từ A đến B là:
t = 8h5’ – 7h20’ = 45’ = 2700s
Quãng đường từ A đến B dài: s = 24,3 km = 24300 m
Vận tốc của người đó:

Bài 9: Lúc 8 giờ một người đi xe đạp khởi hành từ A về B với vận tốc 5 m/s. Lúc 10 giờ một người đi xe máy cũng đi từ A về B với vận tốc 36 km/h. Hỏi hai người gặp nhau lúc mấy giờ? Nơi gặp nhau cách A bao nhiêu km?
- Gọi t là thời gian của người đi xe đạp kể từ khi xuất phát cho đến khi gặp nhau.
- Thời gian của người đi xe máy kể từ khi xuất phát cho đến khi gặp nhau là t -1.
Quãng đường người đi xe đạp đi được:
sĐ = vĐ.t = 5.3,6.t = 18t (1)
Quãng đường người đi xe máy đi được:
sM = vM.t = 36.(t - 1) = 36t – 36 (2)
- Khi gặp nhau thì: sĐ = sM (3)
- Từ (1), (2) và (3) ta có: 18t = 36t – 36 ⇒ t = 2 giờ
Vậy sau 9 + 2 = 11 giờ hai người gặp nhau.
Nơi gặp nhau: sĐ = 18.2 = 36 (km)
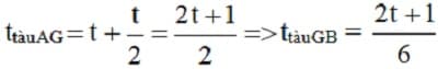
Bài 10: Một người đến ga tàu thì bị chậm mất 30 phút sau khi tàu đã rời khỏi nhà ga A. Để được đi tàu, người đó bèn đi taxi đuổi theo để kịp lên tàu ở nhà ga B kế tiếp. Khi đi được 3/4 quãng đường từ A đến B thì taxi đuổi kịp tàu. Hỏi người này phải đợi tàu ở nhà ga B trong bao lâu? Coi taxi và tàu chuyển động với vận tốc không đổi theo thời gian.
- Gọi G là địa điểm taxi đuổi kịp tàu

- Gọi t là thời gian xe taxi đi từ A đến khi gặp nhau tại G và vì taxi và tàu chuyển động với vận tốc không đổi theo thời gian
⇒ thời gian xe taxi và tàu đi từ G đến B là: 
- Vì chậm mất 30 phút = 1/2 giờ nên thời gian tàu đi từ nhà ga A đến G và từ G đến B lần lượt là:

Vậy thời gian người đó phải đợi tại nhà ga B là:

Tổng hợp các câu trắc nghiệm Vật lý lớp 8 có đáp án: ôn bài, ôn tập chương, kiểm tra, thi
Suckhoecuocsong.vn/TH
Các tin liên quan
- Câu trắc nghiệm Vật lý 8 Bài 23 có đáp án: Đối lưu - Bức xạ nhiệt
- Câu trắc nghiệm Vật lý 8 tổng kết chương 1 có đáp án: Cơ học
- Trắc nghiệm Vật lý 8 Bài 5 có đáp án: Sự cân bằng lực, Quán tính (Tiếp)
- Trắc nghiệm Vật lý 8 Bài 2 có đáp án: Vận tốc (Tiếp)
- Trắc nghiệm vật lý 8 Bài 1 có đáp án: Chuyển động cơ học (Tiếp)
Các tin khác
-
Câu hỏi trắc nghiệm Địa lí lớp 10 bài 2 ôn tập: Một số phương pháp biểu hiện các đối tượng địa lí trên bản đồ
Câu hỏi trắc nghiệm Địa lí lớp 10 bài 2 ôn tập có đáp án: Một số phương pháp biểu hiện các đối tượng địa lí trên bản đồ -
Câu hỏi trắc nghiệm Địa lí lớp 10 bài 2 có đáp án: Một số phương pháp biểu hiện các đối tượng địa lí trên bản đồ (Phần 2)
Câu hỏi trắc nghiệm Địa lí lớp 10 bài 2 có đáp án chính xác: Một số phương pháp biểu hiện các đối tượng địa lí trên bản đồ (Phần 2) -
Câu hỏi trắc nghiệm Địa lí lớp 10 bài 2 có đáp án: Một số phương pháp biểu diễn các đối tượng địa lí trên bản đồ (Phần 1)
Câu hỏi trắc nghiệm Địa lí lớp 10 bài 2 có đáp án chính xác: Một số phương pháp biểu diễn các đối tượng địa lí trên bản đồ (Phần 1) -
Câu hỏi trắc nghiệm Địa lí lớp 10 bài 1 có đáp án: Các phép chiếu hình bản đồ (Phần 2)
Câu hỏi trắc nghiệm Địa lí lớp 10 bài 1 có đáp án chính xác: Các phép chiếu hình bản đồ (Phần 2) -
Câu hỏi trắc nghiệm Địa lí lớp 10 bài 1 có đáp án: Các phép chiếu hình bản đồ (Phần 1)
Câu hỏi trắc nghiệm Địa lí lớp 10 bài 1 có đáp án chính xác: Các phép chiếu hình bản đồ (Phần 1) -
Câu trắc nghiệm Địa lý lớp 10 theo bài, ôn tập có đáp án
Câu trắc nghiệm Địa lý lớp 10 theo bài, ôn tập có đáp án chính xác -
Câu hỏi trắc nghiệm Sinh học lớp 10 bài 3 ôn tập: Các nguyên tố hóa học và nước
Câu hỏi trắc nghiệm Sinh học lớp 10 bài 3 ôn tập có đáp án: Các nguyên tố hóa học và nước -
Câu hỏi trắc nghiệm Sinh học lớp 10 Bài 3 có đáp án: Các nguyên tố hóa học và nước
Câu hỏi trắc nghiệm Sinh học lớp 10 Bài 3 có đáp án chính xác: Các nguyên tố hóa học và nước -
Câu hỏi trắc nghiệm Sinh học lớp 10 bài 2 ôn tập: Các giới sinh vật
Câu hỏi trắc nghiệm Sinh học lớp 10 bài 2 ôn tập có đáp án: Các giới sinh vật -
Câu hỏi trắc nghiệm Sinh học lớp 10 bài 2 có đáp án: Các giới sinh vật
Câu hỏi trắc nghiệm Sinh học lớp 10 bài 2 có đáp án: Các giới sinh vật
