Câu trắc nghiệm Vật lý lớp 8 Bài 17 có đáp án: Sự chuyển hóa và bảo toàn cơ năng
Câu trắc nghiệm Vật lý lớp 8 Bài 17 có đáp án: Sự chuyển hóa và bảo toàn cơ năng
Bài 1: Một viên bi lăn từ đỉnh mặt phẳng nghiêng như hình vẽ. Ở tại vị trí nào viên bi có thế năng lớn nhất.

A. Tại A
B. Tại B
C. Tại C
D. Tại một vị trí khác
Giải đáp: Đáp án cần chọn là A: Vật có khối lượng càng lớn và ở càng cao thì thế năng hấp dẫn càng lớn.
Bài 2: Quan sát dao động một con lắc như hình vẽ. Tại vị trí nào thì thế năng hấp dẫn là lớn nhất, nhỏ nhất?

A. Tại A là lớn nhất, tại B là nhỏ nhất.
B. Tại B là lớn nhất, tại C là nhỏ nhất.
C. Tại C là lớn nhất, tại B là nhỏ nhất.
D. Tại A và C là lớn nhất, tại B là nhỏ nhất.
Giải đáp: ⇒ Tại A và C là lớn nhất, tại B là nhỏ nhất ⇒ Đáp án cần chọn là D: Vật có khối lượng càng lớn và ở càng cao thì thế năng hấp dẫn càng lớn.
Bài 3: Phát biểu nào sau đây đầy đủ nhất khi nói về sự chuyển hóa cơ năng?
A. Động năng có thể chuyển hóa thành thế năng.
B. Thế năng có thể chuyển hóa thành động năng.
C. Động năng và thế năng có thể chuyển hóa qua lại lẫn nhau, cơ năng không được bảo toàn.
D. Động năng có thể chuyển hóa thành thế năng và ngược lại.
Giải đáp: Đáp án cần chọn là D: Động năng có thể chuyển hóa thành thế năng và ngược lại.
Bài 4: Thả một vật từ độ cao h xuống mặt đất. Hãy cho biết trong quá trình rơi cơ năng đã chuyển hóa như thế nào?
A. Động năng chuyển hóa thành thế năng.
B. Thế năng chuyển hóa thành động năng.
C. Động năng giảm còn thế năng tăng.
D. Không có sự chuyển hóa nào.
Giải đáp: Đáp án cần chọn là B: Trong quá trình rơi thế năng chuyển hóa thành động năng
Bài 5: Điều nào sau đây là đúng khi nói về sự bảo toàn cơ năng.
A. Thế năng chỉ có thể chuyển hóa thành động năng.
B. Động năng chỉ có thể chuyển hóa thành thế năng.
C. Động năng và thế năng có thể chuyển hóa lẫn nhau, nhưng cơ năng được bảo toàn.
D. Động năng và thế năng có thể chuyển hóa lẫn nhau, nhưng cơ năng không được bảo toàn.
Giải đáp: Đáp án C: Động năng và thế năng có thể chuyển hóa lẫn nhau, nhưng cơ năng được bảo toàn.
Bài 6: Quan sát trường hợp quả bóng rơi chạm đất, nó nảy lên. Trong thời gian nảy lên thế năng và động năng của nó thay đổi như thế nào?
A. Động năng tăng, thế năng giảm.
B. Động năng và thế năng đều giảm.
C. Động năng và thế năng đều tăng.
D. Động năng giảm, thế năng tăng.
Giải đáp: Đáp án D: Quả bóng rơi chạm đất, nó nảy lên. Trong thời gian nảy lên động năng giảm, thế năng tăng
Bài 7: Trong các trường hợp sau, trường hợp nào có sự chuyển hóa thế năng thành động năng?
A. Mũi tên được bắn đi từ cung.
B. Nước trên đập cao chảy xuống.
C. Hòn bi lăn từ đỉnh dốc xuống dưới.
D. Cả ba trường hợp trên.
Giải đáp: Đáp án D: Mũi tên được bắn đi từ cung, nước trên đập cao chảy xuống, hòn bi lăn từ đỉnh dốc xuống dưới có sự chuyển hóa thế năng thành động năng
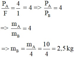
Bài 8: Người ta dùng vật B kéo vật A (có khối lượng mA = 10 kg) chuyển động đều đi trên mặt phẳng nghiêng như hình bên. Biết CD = 4 m, DE = 1m. Bỏ qua ma sát, vật B phải có khối lượng bao nhiêu?
A. 4 kg
B. 2,5 kg
C. 1,5 kg
D. 5 kg
Hiển thị đáp án

- Tác dụng lên vật A có trọng lượng PA và lực kéo F của sợi dây có độ lớn bằng trọng lượng PB của vật B.

- Do bỏ qua ma sát nên theo tính chất của mặt phẳng nghiêng ta có:

⇒ Đáp án B
Bài 9: Cho hệ cơ học như hình vẽ, bỏ qua ma sát, khối lượng của lò xo. Lúc đầu hệ cân bằng. Nén lò xo một đoạn l sau đó thả ra.

Gọi O là vị trí ban đầu của vật (vị trí cân bằng). Khi nén lò xo một đoạn l, vật ở vị trí M, năng lượng của hệ dự trữ dưới dạng nào?
A. Động năng
B. Thế năng đàn hồi
C. Cơ năng
D. Thế năng hấp dẫn
Giải đáp: Đáp án cần chọn là B: Năng lượng của hệ dự trữ dưới dạng thế năng đàn hồi
Bài 10: Cho hệ cơ học như hình vẽ, bỏ qua ma sát, khối lượng của lò xo. Lúc đầu hệ cân bằng. Nén lò xo một đoạn l sau đó thả ra.
Khi chuyển động từ M đến O, động năng và thế năng của vật thay đổi như thế nào?

A. Động năng giảm, thế năng tăng.
B. Động năng tăng, thế năng giảm.
C. Động năng tăng, thế năng không thay đổi.
D. Động năng và thế năng không thay đổi.
Giải đáp: Đáp án cần chọn là B: Khi chuyển động từ M đến O, động năng tăng và thế năng giảm
Tổng hợp các câu trắc nghiệm Vật lý lớp 8 có đáp án: ôn bài, ôn tập chương, kiểm tra, thi
Suckhoecuocsong.vn/TH
Các tin liên quan
- Câu trắc nghiệm Vật lý 8 Bài 23 có đáp án: Đối lưu - Bức xạ nhiệt
- Câu trắc nghiệm Vật lý 8 tổng kết chương 1 có đáp án: Cơ học
- Trắc nghiệm Vật lý 8 Bài 5 có đáp án: Sự cân bằng lực, Quán tính (Tiếp)
- Trắc nghiệm Vật lý 8 Bài 2 có đáp án: Vận tốc (Tiếp)
- Trắc nghiệm vật lý 8 Bài 1 có đáp án: Chuyển động cơ học (Tiếp)
Các tin khác
-
Câu hỏi trắc nghiệm Địa lí lớp 10 bài 2 ôn tập: Một số phương pháp biểu hiện các đối tượng địa lí trên bản đồ
Câu hỏi trắc nghiệm Địa lí lớp 10 bài 2 ôn tập có đáp án: Một số phương pháp biểu hiện các đối tượng địa lí trên bản đồ -
Câu hỏi trắc nghiệm Địa lí lớp 10 bài 2 có đáp án: Một số phương pháp biểu hiện các đối tượng địa lí trên bản đồ (Phần 2)
Câu hỏi trắc nghiệm Địa lí lớp 10 bài 2 có đáp án chính xác: Một số phương pháp biểu hiện các đối tượng địa lí trên bản đồ (Phần 2) -
Câu hỏi trắc nghiệm Địa lí lớp 10 bài 2 có đáp án: Một số phương pháp biểu diễn các đối tượng địa lí trên bản đồ (Phần 1)
Câu hỏi trắc nghiệm Địa lí lớp 10 bài 2 có đáp án chính xác: Một số phương pháp biểu diễn các đối tượng địa lí trên bản đồ (Phần 1) -
Câu hỏi trắc nghiệm Địa lí lớp 10 bài 1 có đáp án: Các phép chiếu hình bản đồ (Phần 2)
Câu hỏi trắc nghiệm Địa lí lớp 10 bài 1 có đáp án chính xác: Các phép chiếu hình bản đồ (Phần 2) -
Câu hỏi trắc nghiệm Địa lí lớp 10 bài 1 có đáp án: Các phép chiếu hình bản đồ (Phần 1)
Câu hỏi trắc nghiệm Địa lí lớp 10 bài 1 có đáp án chính xác: Các phép chiếu hình bản đồ (Phần 1) -
Câu trắc nghiệm Địa lý lớp 10 theo bài, ôn tập có đáp án
Câu trắc nghiệm Địa lý lớp 10 theo bài, ôn tập có đáp án chính xác -
Câu hỏi trắc nghiệm Sinh học lớp 10 bài 3 ôn tập: Các nguyên tố hóa học và nước
Câu hỏi trắc nghiệm Sinh học lớp 10 bài 3 ôn tập có đáp án: Các nguyên tố hóa học và nước -
Câu hỏi trắc nghiệm Sinh học lớp 10 Bài 3 có đáp án: Các nguyên tố hóa học và nước
Câu hỏi trắc nghiệm Sinh học lớp 10 Bài 3 có đáp án chính xác: Các nguyên tố hóa học và nước -
Câu hỏi trắc nghiệm Sinh học lớp 10 bài 2 ôn tập: Các giới sinh vật
Câu hỏi trắc nghiệm Sinh học lớp 10 bài 2 ôn tập có đáp án: Các giới sinh vật -
Câu hỏi trắc nghiệm Sinh học lớp 10 bài 2 có đáp án: Các giới sinh vật
Câu hỏi trắc nghiệm Sinh học lớp 10 bài 2 có đáp án: Các giới sinh vật
