Câu trắc nghiệm Vật lý lớp 8 Bài 13 có đáp án: Công cơ học
Câu trắc nghiệm Vật lý lớp 8 Bài 13 có đáp án: Công cơ học
Bài 1: Trường hợp nào sau đây có công cơ học? Chọn đáp án đúng nhất.
A. Khi có lực tác dụng vào vật và vật chuyển động theo phương vuông góc với phương của lực.
B. Khi có lực tác dụng vào vật.
C. Khi có lực tác dụng vào vật và vật chuyển động theo phương không vuông góc với phương của lực.
D. Khi có lực tác dụng vào vật nhưng vật vẫn đứng yên.
Giải đáp: Đáp án cần chọn là C: Công cơ học dùng với trường hợp khi có lực tác dụng vào vật và vật chuyển động theo phương không vuông góc với phương của lực
Bài 2: Trong các trường hợp dưới đây, trường hợp nào thực hiện công cơ học?
A. Đầu tàu hỏa đang kéo đoàn tàu chuyển động.
B. Người công nhân dùng ròng rọc cố định kéo vật nặng lên.
C. Ô tô đang chuyển động trên đường nằm ngang.
D. Quả nặng rơi từ trên xuống.
Giải đáp: Đáp án cần chọn là D: Đầu tàu hỏa đang kéo đoàn tàu chuyển động ⇒ Lực kéo. Người công nhân dùng ròng rọc cố định kéo vật nặng lên ⇒ Lực căng
Ô tô đang chuyển động trên đường nằm ngang ⇒ Lực kéo của động cơ
Quả nặng rơi từ trên xuống ⇒ Trọng lực
Bài 3: Công thức tính công cơ học khi lực F làm vật dịch chuyển một quãng đường s theo hướng của lực là:
A. A = F/s
B. A = F.s
C. A = F –s
D. A = s/F
Giải đáp: Đáp án cần chọn là B
Công thức tính công cơ học khi lực F làm vật dịch chuyển một quãng đường s theo hướng của lực là A = F.s
Bài 4: Trong những trường hợp dưới đây, trường hợp nào không có công cơ học?
A. Một người đang kéo một vật chuyển động.
B. Hòn bi đang chuyển động thẳng đều trên mặt sàn nằm ngang coi như tuyệt đối nhẵn.
C. Máy xúc đất đang làm việc.
D. Một lực sĩ đang nâng quả tạ từ thấp lên cao.
Giải đáp: Đáp án cần chọn là B: Trường hợp hòn bi đang chuyển động thẳng đều trên mặt sàn nằm ngang coi như tuyệt đối nhẵn
Bài 5: Một nhóm học sinh đẩy một xe chở đất từ A đến B trên đoạn đường nằm ngang, tới B đổ hết đất rồi đẩy xe không theo đường cũ trở về A. So sánh công sinh ra ở lượt đi và lượt về.
A. Công ở lượt đi bằng công trượt ở lượt về vì quãng đường đi được bằng nhau.
B. Công ở lượt về lớn hơn vì xe không thì đi nhanh hơn.
C. Công ở lượt đi nhỏ hơn vì kéo xe nặng nên đi chậm.
D. Công ở lượt đi lớn hơn vì lực đẩy lượt đi lớn hơn lượt về.
Giải đáp:
- Công cơ học được tính bởi công thức: A = F.s ⇒ Công cơ học tỉ lệ thuận với lực F.
- Trong trường hợp trên, ta thấy khi đẩy xe đất từ A đến B có lực đẩy lớn hơn khi đẩy xe không từ B về đến A ⇒ Công ở lượt đi lớn hơn vì lực đẩy lượt đi lớn hơn lượt về.
⇒ Đáp án B
Bài 6: Một ròng rọc cố định làm thay đổi hướng chuyển động của dây đi 900 khi kéo vật lên cao như hình vẽ.
A. Lực kéo đã thực hiện công vì có lực tác dụng làm vật dịch chuyển.
B. Lực kéo không thực hiện công vì phương của lực vuông góc với phương dịch chuyển của vật.
C. Lực kéo không thực hiện công vì nếu không có lực vật vẫn có thể chuyển động theo quán tính.
D. Lực kéo không thực hiện công vì lực kéo tác dụng lên vật phải thông qua ròng rọc.
Giải đáp: Lực kéo không thực hiện công vì phương của lực vuông góc với phương dịch chuyển của vật.
Lực thực hiện công ở đây là lực căng dây.
⇒ Đáp án B
Bài 7: Người ta dùng một cần cẩu để nâng một thùng hàng có khối lượng 2500 kg lên độ cao 12 m. Tính công thực hiện được trong trường hợp này.
A. 300 kJ
B. 2,08 kJ
C. 250 kJ
D. 300 J
Giải đáp:
Thùng hàng có khối lượng là 2500 kg nghĩa là nó có trọng lượng:
P = 2500.10 = 25000N.
Công thực hiện khi nâng thùng hàng lên độ cao 12 m là:
A = F.s = 25000.12 = 300000 J = 300 kJ
⇒ Đáp án A
Bài 8: Một đầu máy xe lửa kéo các toa xe bằng lực F = 7500 N. Công của lực kéo là bao nhiêu khi các toa xe chuyển động được quãng đường s = 8km.
A. A = 60000 kJ
B. A = 6000 kJ
C. Một kết quả khác
D. A = 600 kJ
Giải đáp: Đổi 8 km = 8000 m
Công của lực kéo là:
ADCT: A = F.s = 7500.8000 = 6.107 J = 60000 kJ
⇒ Đáp án A
Bài 9: Một đầu tàu kéo một đoàn tàu chuyển động từ ga A tới ga B trong 15 phút với vận tốc 30 km/h. Tại ga B đoàn tàu được mắc thêm toa và do đó chuyển động đều từ ga B đến C với vận tốc nhỏ hơn trước 10 km/h. Thời gian đi từ ga B đến ga C là 30 phút. Tính công của đầu tàu đã sinh ra biết rằng lực kéo của đàu tàu không đổi là 40000 N.
Giải đáp: Ta có: S1 = v1.t1 = 30. 1/4 = 7,5 km
S2 = v2.t2 = 20. 1/2 = 10 km
S = S1 + S2 = 7,5 + 10 = 17,5 km = 17500 m
A = F.s = 40000.17500 = 700 000 000 J
Bài 10: Một vận động viên nhảy cao đạt được thành tích là 2,1 m. Giả sử vận động viên đó là nhà du hành vũ trụ lên Mặt Trăng thì trên Mặt Trăng người ấy nhảy cao được bao nhiêu mét? Biết rằng lực hút của Trái Đất lên vật ở mặt đất lớn hơn lực hút của Mặt Trăng lên vật ấy ở trên Mặt Trăng 6 lần và ở trên Mặt Trăng người ấy phải mặc thêm bộ áo giáp vũ trụ nặng bằng 6/5 thân thể người đó.
Giải đáp:
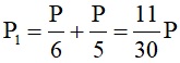
- Gọi trọng lượng của người đó ở trên Trái Đất là P
- Trọng lượng của người đó và bộ áo giáp trên Mặt Trăng là:

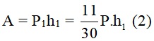
- Khi nhà du hành vũ trụ nhảy trên mặt đất: A = P.h (1)
- Khi nhà du hành vũ trụ nhảy trên Mặt Trăng:

Từ (1) và (2) ta có:

Tổng hợp các câu trắc nghiệm Vật lý lớp 8 có đáp án: ôn bài, ôn tập chương, kiểm tra, thi
Suckhoecuocsong.vn/TH
Các tin liên quan
- Câu trắc nghiệm Vật lý 8 Bài 23 có đáp án: Đối lưu - Bức xạ nhiệt
- Câu trắc nghiệm Vật lý 8 tổng kết chương 1 có đáp án: Cơ học
- Trắc nghiệm Vật lý 8 Bài 5 có đáp án: Sự cân bằng lực, Quán tính (Tiếp)
- Trắc nghiệm Vật lý 8 Bài 2 có đáp án: Vận tốc (Tiếp)
- Trắc nghiệm vật lý 8 Bài 1 có đáp án: Chuyển động cơ học (Tiếp)
Các tin khác
-
Câu hỏi trắc nghiệm Địa lí lớp 10 bài 2 ôn tập: Một số phương pháp biểu hiện các đối tượng địa lí trên bản đồ
Câu hỏi trắc nghiệm Địa lí lớp 10 bài 2 ôn tập có đáp án: Một số phương pháp biểu hiện các đối tượng địa lí trên bản đồ -
Câu hỏi trắc nghiệm Địa lí lớp 10 bài 2 có đáp án: Một số phương pháp biểu hiện các đối tượng địa lí trên bản đồ (Phần 2)
Câu hỏi trắc nghiệm Địa lí lớp 10 bài 2 có đáp án chính xác: Một số phương pháp biểu hiện các đối tượng địa lí trên bản đồ (Phần 2) -
Câu hỏi trắc nghiệm Địa lí lớp 10 bài 2 có đáp án: Một số phương pháp biểu diễn các đối tượng địa lí trên bản đồ (Phần 1)
Câu hỏi trắc nghiệm Địa lí lớp 10 bài 2 có đáp án chính xác: Một số phương pháp biểu diễn các đối tượng địa lí trên bản đồ (Phần 1) -
Câu hỏi trắc nghiệm Địa lí lớp 10 bài 1 có đáp án: Các phép chiếu hình bản đồ (Phần 2)
Câu hỏi trắc nghiệm Địa lí lớp 10 bài 1 có đáp án chính xác: Các phép chiếu hình bản đồ (Phần 2) -
Câu hỏi trắc nghiệm Địa lí lớp 10 bài 1 có đáp án: Các phép chiếu hình bản đồ (Phần 1)
Câu hỏi trắc nghiệm Địa lí lớp 10 bài 1 có đáp án chính xác: Các phép chiếu hình bản đồ (Phần 1) -
Câu trắc nghiệm Địa lý lớp 10 theo bài, ôn tập có đáp án
Câu trắc nghiệm Địa lý lớp 10 theo bài, ôn tập có đáp án chính xác -
Câu hỏi trắc nghiệm Sinh học lớp 10 bài 3 ôn tập: Các nguyên tố hóa học và nước
Câu hỏi trắc nghiệm Sinh học lớp 10 bài 3 ôn tập có đáp án: Các nguyên tố hóa học và nước -
Câu hỏi trắc nghiệm Sinh học lớp 10 Bài 3 có đáp án: Các nguyên tố hóa học và nước
Câu hỏi trắc nghiệm Sinh học lớp 10 Bài 3 có đáp án chính xác: Các nguyên tố hóa học và nước -
Câu hỏi trắc nghiệm Sinh học lớp 10 bài 2 ôn tập: Các giới sinh vật
Câu hỏi trắc nghiệm Sinh học lớp 10 bài 2 ôn tập có đáp án: Các giới sinh vật -
Câu hỏi trắc nghiệm Sinh học lớp 10 bài 2 có đáp án: Các giới sinh vật
Câu hỏi trắc nghiệm Sinh học lớp 10 bài 2 có đáp án: Các giới sinh vật
