Câu trắc nghiệm Vật lý lớp 8 Bài 12 có đáp án: Sự nổi
Câu trắc nghiệm Vật lý lớp 8 Bài 12 có đáp án: Sự nổi
Bài 1: Lực đẩy Ác – si – mét nhỏ hơn trọng lượng thì:
A. Vật chìm xuống
B. Vật lơ lửng trong chất lỏng
C. Vật nổi lên
D. Vật chìm xuống đáy chất lỏng
Giải đáp:
Vật chìm xuống khi lực đẩy Ác – si – mét nhỏ hơn trọng lượng
⇒ Đáp án A
Bài 2: Khi vật nổi trên chất lỏng thì lực đẩy Ác – si – mét có cường độ:
A. Nhỏ hơn trọng lượng của vật.
B. Lớn hơn trọng lượng của vật.
C. Nhỏ hơn hoặc bằng trọng lượng của vật.
D. Bằng trọng lượng của vật.
Giải đáp:
Nếu ta thả vật ở trong chất lỏng thì vật nổi lên khi FA > P
⇒ Đáp án B
Bài 3: Một vật nằm trong chất lỏng. Phát biểu nào sau đây là đúng nhất khi nói về các lực tác dụng lên vật?
A. Vật nằm trong chất lỏng chịu tác dụng của một lực duy nhất là lực đẩy Ác – si – mét.
B. Vật nằm trong chất lỏng chịu tác dụng của một lực duy nhất là trọng lực.
C. Vật nằm trong chất lỏng chịu tác dụng của trọng lực và lực đẩy Ác – si – mét có phương thẳng đứng và chiều ngược nhau.
D. Vật nằm trong chất lỏng chịu tác dụng của trọng lực và lực đẩy Ác – si – mét có phương thẳng đứng và cùng chiều với nhau.
Giải đáp:
Vật nằm trong chất lỏng chịu tác dụng của trọng lực và lực đẩy Ác – si – mét có phương thẳng đứng và chiều ngược nhau
⇒ Đáp án C
Bài 4: Tại sao miếng gỗ thả vào nước thì nổi?
A. Vì trọng lượng riêng của gỗ nhỏ hơn trọng lượng riêng của nước.
B. Vì gỗ là vật nhẹ.
C. Vì trọng lượng riêng của gỗ lớn hơn trọng lượng riêng của nước.
D. Vì gỗ không thấm nước.
Giải đáp:
- Trọng lượng P = dvật.V
- Lực đẩy Ác – si – mét: FA = dchất lỏng.V
- Vật nổi lên khi FA > P
⇒ dchất lỏng > dvật
⇒ gỗ thả vào nước thì trọng lượng riêng của gỗ nhỏ hơn trọng lượng riêng của nước
⇒ Đáp án A
Bài 5: Gọi dv là trọng lượng riêng của vật, d là trọng lượng riêng của chất lỏng. Điều nào sau đây không đúng?
A. Vật chìm xuống khi dv > d
B. Vật chìm xuống đáy khi dv = d
C. Vật sẽ nổi lên khi dv < d
D. Vật lở lửng trong chất lỏng khi dv = d
Giải đáp: Vật chìm xuống đáy khi dv = d
⇒ Đáp án B
Bài 6: Thả hòn bi thép vào thủy ngân thì hiện tượng xảy ra như thế nào? Biết thép có trọng lượng riêng 78500 N/m3, thủy ngân có trọng lượng riêng là 136000 N/m3.
A. Bi chìm hoàn toàn trong thủy ngân.
B. Bi lơ lửng trong thủy ngân.
C. Bi nổi trên mặt thoáng của thủy ngân.
D. Bi chìm đúng 1/3 thể tích của nó trong thủy ngân.
Giải đáp: Ta có trọng lượng: P = dv.V
Lực đẩy Ác – si – mét: FA = d.V
dv < d ⇒ Viên bi thép nổi trên mặt thoáng của thủy ngân.
⇒ Đáp án C
Bài 7: Cùng một vật nổi trong hai chất lỏng khác nhau có trọng lượng riêng d1 và d2 như hình vẽ. Sự so sánh nào sau đây là đúng?

A. d1 > d2
B. d1 < d2
C. Lực đẩy Ác – si – mét trong hai trường hợp là như nhau.
D. Trọng lượng của phần chất lỏng bị vật chiếm chỗ trong hai trường hợp là như nhau.
Giải đáp: Từ hình vẽ ta thấy vật đó trong chất lỏng thứ hai chìm sâu hơn ở trong chất lỏng thứ nhất.
⇒ Lực đẩy Ác – si – mét ở trong chất lỏng thứ hai nhỏ hơn trong chất lỏng thứ nhất
FA2 < FA1 ⇔ d2V2 < d1V1
Ta có V2 > V1
⇒ d2 < d1
⇒ Đáp án A
Bài 8: Một phao bơi có thể tích 25 dm3 và khối lượng 5 kg. Hỏi lực nâng tác dụng vào phao khi chìm trong nước là bao nhiêu? Trọng lượng riêng của nước là 10000 N/m3.
A. 150 N
B. 100 N
C. 200 N
D. 250 N
Giải đáp: Lực đẩy Ác – si – mét tác dụng lên phao là:
FA = d.V= 10000. 0,025= 250N
Trọng lượng của phao là:
P = 10.m = 10.5 = 50N
Lực nâng phao là: F = FA – P = 200N
⇒ Đáp án C
Bài 9: Một chiếc xà lan có dạng hình hộp dài 4m, rộng 2m. Biết xà lan ngập sâu trong nước 0,5 m. Trọng lượng riêng của nước là 10000 N/m3. Xà lan có trọng lượng là bao nhiêu?
A. P = 40000 N
B. P = 45000 N
C. P = 50000 N
D. Một kết quả khác
Giải đáp: Đáp án A: Thể tích xà lan chìm trong nước: V = 4.2.0,5 = 4 m3
Lực đẩy Ác – si – mét tác dụng lên xà lan: FA = d.V = 10000.4 = 40000 N
Do thuyền lơ lửng trong chất lỏng nên trọng lượng của xà lan là: FA = P = 40000 N
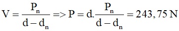
Bài 10: Một vật có trọng lượng riêng là 26000 N/m3. Treo vật vào một lực kế rồi nhúng vật ngập trong nước thì lực kế chỉ 150 N. Hỏi nếu treo vật ngoài không khí thì lực kế chỉ bao nhiêu? Cho biết trọng lượng riêng của nước là 10000 N/m3.
Giải đáp: Gọi P là số chỉ của lực kế khi treo vật vào lực kế ở ngoài không khí.
Pn là số chỉ của lực kế khi vật ở trong nước.
d là trọng lượng riêng của vật
dn là trọng lượng riêng của nước.
FA = P - Pn ⇒dn.V = dV - Pn

Tổng hợp các câu trắc nghiệm Vật lý lớp 8 có đáp án: ôn bài, ôn tập chương, kiểm tra, thi
Suckhoecuocsong.vn/TH
Các tin liên quan
- Câu trắc nghiệm Vật lý 8 Bài 23 có đáp án: Đối lưu - Bức xạ nhiệt
- Câu trắc nghiệm Vật lý 8 tổng kết chương 1 có đáp án: Cơ học
- Trắc nghiệm Vật lý 8 Bài 5 có đáp án: Sự cân bằng lực, Quán tính (Tiếp)
- Trắc nghiệm Vật lý 8 Bài 2 có đáp án: Vận tốc (Tiếp)
- Trắc nghiệm vật lý 8 Bài 1 có đáp án: Chuyển động cơ học (Tiếp)
Các tin khác
-
Câu hỏi trắc nghiệm Địa lí lớp 10 bài 2 ôn tập: Một số phương pháp biểu hiện các đối tượng địa lí trên bản đồ
Câu hỏi trắc nghiệm Địa lí lớp 10 bài 2 ôn tập có đáp án: Một số phương pháp biểu hiện các đối tượng địa lí trên bản đồ -
Câu hỏi trắc nghiệm Địa lí lớp 10 bài 2 có đáp án: Một số phương pháp biểu hiện các đối tượng địa lí trên bản đồ (Phần 2)
Câu hỏi trắc nghiệm Địa lí lớp 10 bài 2 có đáp án chính xác: Một số phương pháp biểu hiện các đối tượng địa lí trên bản đồ (Phần 2) -
Câu hỏi trắc nghiệm Địa lí lớp 10 bài 2 có đáp án: Một số phương pháp biểu diễn các đối tượng địa lí trên bản đồ (Phần 1)
Câu hỏi trắc nghiệm Địa lí lớp 10 bài 2 có đáp án chính xác: Một số phương pháp biểu diễn các đối tượng địa lí trên bản đồ (Phần 1) -
Câu hỏi trắc nghiệm Địa lí lớp 10 bài 1 có đáp án: Các phép chiếu hình bản đồ (Phần 2)
Câu hỏi trắc nghiệm Địa lí lớp 10 bài 1 có đáp án chính xác: Các phép chiếu hình bản đồ (Phần 2) -
Câu hỏi trắc nghiệm Địa lí lớp 10 bài 1 có đáp án: Các phép chiếu hình bản đồ (Phần 1)
Câu hỏi trắc nghiệm Địa lí lớp 10 bài 1 có đáp án chính xác: Các phép chiếu hình bản đồ (Phần 1) -
Câu trắc nghiệm Địa lý lớp 10 theo bài, ôn tập có đáp án
Câu trắc nghiệm Địa lý lớp 10 theo bài, ôn tập có đáp án chính xác -
Câu hỏi trắc nghiệm Sinh học lớp 10 bài 3 ôn tập: Các nguyên tố hóa học và nước
Câu hỏi trắc nghiệm Sinh học lớp 10 bài 3 ôn tập có đáp án: Các nguyên tố hóa học và nước -
Câu hỏi trắc nghiệm Sinh học lớp 10 Bài 3 có đáp án: Các nguyên tố hóa học và nước
Câu hỏi trắc nghiệm Sinh học lớp 10 Bài 3 có đáp án chính xác: Các nguyên tố hóa học và nước -
Câu hỏi trắc nghiệm Sinh học lớp 10 bài 2 ôn tập: Các giới sinh vật
Câu hỏi trắc nghiệm Sinh học lớp 10 bài 2 ôn tập có đáp án: Các giới sinh vật -
Câu hỏi trắc nghiệm Sinh học lớp 10 bài 2 có đáp án: Các giới sinh vật
Câu hỏi trắc nghiệm Sinh học lớp 10 bài 2 có đáp án: Các giới sinh vật
