Câu trắc nghiệm Vật lý lớp 8 Bài 10 có đáp án: Lực đẩy Ác-si-mét
Câu trắc nghiệm Vật lý lớp 8 Bài 10 có đáp án: Lực đẩy Ác-si-mét
Bài 1: Một vật ở trong nước chịu tác dụng của những lực nào?
A. Trọng lực.
B. Lực đẩy Ác-si-mét.
C. Lực đẩy Ác-si-mét và lực ma sát.
D. Trọng lực và lực đẩy Ác-si-mét.
Giải đáp: Đáp án D: Một vật ở trong nước chịu tác dụng của trọng lực và lực đẩy Ác-si-mét
Bài 2: Lực đẩy Ác-si-mét tác dụng lên một vật nhúng trong chất lỏng bằng:
A. Trọng lượng của chất lỏng.
B. Trọng lượng của vật.
C. Trọng lượng phần chất lỏng bị vật chiếm chỗ.
D. Trọng lượng của phần vật nằm dưới mặt chất lỏng.
Giải đáp: Lực đẩy Ác-si-mét tác dụng lên một vật nhúng trong chất lỏng bằng trọng lượng phần chất lỏng bị vật chiếm chỗ
⇒ Đáp án C
Bài 3: Công thức tính lực đẩy Ác-si-mét là:
A. FA = Pvật
B. FA = D.V
C. FA = d.V
D. FA = d.h
Giải đáp
Công thức tính lực đẩy Ác-si-mét là FA = d.V
⇒ Đáp án C
Bài 4: Trong các câu sau, câu nào đúng?
A. Lực đẩy Ác-si-mét tác dụng theo mọi phương vì chất lỏng gây áp suất theo mọi phương.
B. Lực đẩy Ác-si-mét cùng chiều với trọng lực.
C. Lực đẩy Ác-si-mét có điểm đặt ở vật.
D. Lực đẩy Ác-si-mét luôn có độ lớn bằng trọng lượng của vật.
Giải đáp: Lực đẩy Ác-si-mét ngược chiều với trọng lực, có độ lớn bằng trọng lượng của phần chất lỏng bị vật chiếm chỗ
⇒ Đáp án C
Bài 5: Một thỏi nhôm và một thỏi thép có thể tích bằng nhau cùng được nhúng chìm trong nước. Nhận xét nào sau đây là đúng?
A. Thỏi nào nằm sâu hơn thì lực đẩy Ác-si-mét tác dụng lên thỏi đó lớn hơn.
B. Hai thỏi nhôm và thép đều chịu tác dụng của lực đẩy Ác-si-mét như nhau vì chúng cùng được nhúng trong nước như nhau.
C. Thép có trọng lượng riêng lớn hơn nhôm nên thỏi thép chịu tác dụng của lực đẩy Ác-si-mét lớn hơn.
D. Hai thỏi nhôm và thép đều chịu tác dụng của lực đẩy Ác-si-mét như nhau vì chúng chiếm thể tích trong nước như nhau.
Giải đáp: Hai thỏi nhôm và thép đều chịu tác dụng của lực đẩy Ác-si-mét như nhau vì chúng chiếm thể tích trong nước như nhau
⇒ Đáp án D
Bài 6: Khi ôm một tảng đá trong nước ta thấy nhẹ hơn khi ôm nó trong không khí. Sở dĩ như vậy là vì:
A. Khối lượng của nước thay đổi.
B. Khối lượng của tảng đá thay đổi.
C. Lực đẩy của nước.
D. Lực đẩy của tảng đá.
Giải đáp: Khi ôm một tảng đá trong nước ta thấy nhẹ hơn khi ôm nó trong không khí. Sở dĩ như vậy là vì lực đẩy của nước
⇒ Đáp án C
Bài 7: Thể tích của một miếng sắt là 2dm3. Lực đẩy tác dụng lên miếng sắt khi nhúng chìm trong nước sẽ nhận giá trị nào trong các giá trị sau:
A. F = 15N
B. F = 20N
C. F = 10N
D. F = 25N
Giải đáp:
Ta có: 2dm3 = 0,002 m3
Lực đẩy Ác-si-mét tác dụng lên miếng sắt khi miếng sắt được nhúng chìm trong nước là: Fnước = dnước.Vsắt = 10000.0,002 = 20N
⇒ Đáp án B
Bài 8: Treo một vật ở ngoài không khí vào lực kế, lực kế chỉ 2,1 N. Nhúng chìm vật đó vào nước thì số chỉ của lực kế giảm 0,2 N. Hỏi chất làm vật đó có trọng lượng riêng lớn gấp bao nhiêu lần trọng lượng riêng của nước. Biết trọng lượng riêng của nước là 10000 N/m3.
A. 10 lần
B. 6 lần
C. 10,5 lần
D. 8 lần
Giải đáp:
- Khi nhúng chìm vật vào nước, vật chịu tác dụng của lực đẩy Ác – si – mét nên số chỉ của lực kế giảm 0,2 N tức là FA = 0,2 N.
- Ta có: FA = V.dn
⇒ Thể tích của vật:

⇒ Đáp án C
Bài 9: Một vật có trọng lượng riêng là 22000 N/m3. Treo vật vào một lực kế rồi nhúng vật ngập trong nước thì lực kế chỉ 30N. Hỏi nếu treo vật ở ngoài không khí thì lực kế chỉ bao nhiêu? Cho biết trọng lượng riêng của nước là 10000 N/m3.
Giải đáp:
Gọi Pkk, PN, FA là trọng lượng của vật khi cân ngoài không khí, khi nhúng vào nước và lực đẩy Ác – si – mét. Ta có:
Pkk – FA = PN
⇒ V(d – dN) = PN

Vậy số chỉ của lực kế khi vật ở ngoài không khí là 55 N.
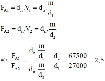
Bài 10: Một vật làm bằng nhôm và một vật làm bằng hợp kim có cùng khối lượng và được nhúng vào trong cùng một chất lỏng. Hỏi lực đẩy Ác-si-mét tác dụng lên vật nào lớn hơn? Lớn hơn mấy lần? Biết trọng lượng riêng của nhôm và hợp kim lần lượt là 27000 N/m3 và 67500 N/m3.
Giải đáp
- Gọi d1, d2 là trọng lượng riêng của nhôm và hợp kim.
- Lực đẩy Ác-si-mét tác dụng lên 2 vật:

⇒ FA1 = 2,5.FA2
Vậy lực đẩy Ác – si – mét tác dụng lên vật làm bằng nhôm lớn hơn và lớn hơn 2,5 lần.
Tổng hợp các câu trắc nghiệm Vật lý lớp 8 có đáp án: ôn bài, ôn tập chương, kiểm tra, thi
Suckhoecuocsong.vn/TH
Các tin liên quan
- Câu trắc nghiệm Vật lý 8 Bài 23 có đáp án: Đối lưu - Bức xạ nhiệt
- Câu trắc nghiệm Vật lý 8 tổng kết chương 1 có đáp án: Cơ học
- Trắc nghiệm Vật lý 8 Bài 5 có đáp án: Sự cân bằng lực, Quán tính (Tiếp)
- Trắc nghiệm Vật lý 8 Bài 2 có đáp án: Vận tốc (Tiếp)
- Trắc nghiệm vật lý 8 Bài 1 có đáp án: Chuyển động cơ học (Tiếp)
Các tin khác
-
Câu hỏi trắc nghiệm Địa lí lớp 10 bài 2 ôn tập: Một số phương pháp biểu hiện các đối tượng địa lí trên bản đồ
Câu hỏi trắc nghiệm Địa lí lớp 10 bài 2 ôn tập có đáp án: Một số phương pháp biểu hiện các đối tượng địa lí trên bản đồ -
Câu hỏi trắc nghiệm Địa lí lớp 10 bài 2 có đáp án: Một số phương pháp biểu hiện các đối tượng địa lí trên bản đồ (Phần 2)
Câu hỏi trắc nghiệm Địa lí lớp 10 bài 2 có đáp án chính xác: Một số phương pháp biểu hiện các đối tượng địa lí trên bản đồ (Phần 2) -
Câu hỏi trắc nghiệm Địa lí lớp 10 bài 2 có đáp án: Một số phương pháp biểu diễn các đối tượng địa lí trên bản đồ (Phần 1)
Câu hỏi trắc nghiệm Địa lí lớp 10 bài 2 có đáp án chính xác: Một số phương pháp biểu diễn các đối tượng địa lí trên bản đồ (Phần 1) -
Câu hỏi trắc nghiệm Địa lí lớp 10 bài 1 có đáp án: Các phép chiếu hình bản đồ (Phần 2)
Câu hỏi trắc nghiệm Địa lí lớp 10 bài 1 có đáp án chính xác: Các phép chiếu hình bản đồ (Phần 2) -
Câu hỏi trắc nghiệm Địa lí lớp 10 bài 1 có đáp án: Các phép chiếu hình bản đồ (Phần 1)
Câu hỏi trắc nghiệm Địa lí lớp 10 bài 1 có đáp án chính xác: Các phép chiếu hình bản đồ (Phần 1) -
Câu trắc nghiệm Địa lý lớp 10 theo bài, ôn tập có đáp án
Câu trắc nghiệm Địa lý lớp 10 theo bài, ôn tập có đáp án chính xác -
Câu hỏi trắc nghiệm Sinh học lớp 10 bài 3 ôn tập: Các nguyên tố hóa học và nước
Câu hỏi trắc nghiệm Sinh học lớp 10 bài 3 ôn tập có đáp án: Các nguyên tố hóa học và nước -
Câu hỏi trắc nghiệm Sinh học lớp 10 Bài 3 có đáp án: Các nguyên tố hóa học và nước
Câu hỏi trắc nghiệm Sinh học lớp 10 Bài 3 có đáp án chính xác: Các nguyên tố hóa học và nước -
Câu hỏi trắc nghiệm Sinh học lớp 10 bài 2 ôn tập: Các giới sinh vật
Câu hỏi trắc nghiệm Sinh học lớp 10 bài 2 ôn tập có đáp án: Các giới sinh vật -
Câu hỏi trắc nghiệm Sinh học lớp 10 bài 2 có đáp án: Các giới sinh vật
Câu hỏi trắc nghiệm Sinh học lớp 10 bài 2 có đáp án: Các giới sinh vật
